🇳🇴 🇬🇧 🇩🇪 🇨🇿 🇫🇮

Meteor Rotnesin yllä 2021-04-06 21:49:07 UTC

KML-tiedosto  |  Interaktiivinen kartta

Kartta näyttää meteorin suuntahavainnot. Vaaleammat viivat näyttävät suunnat havaintoasemilta meteorin ilmestyessä, ja tummemmat viivat näyttävät, missä se viimeksi nähtiin. Sininen nuoli näyttää meteorin näkyvän lennon.

static map
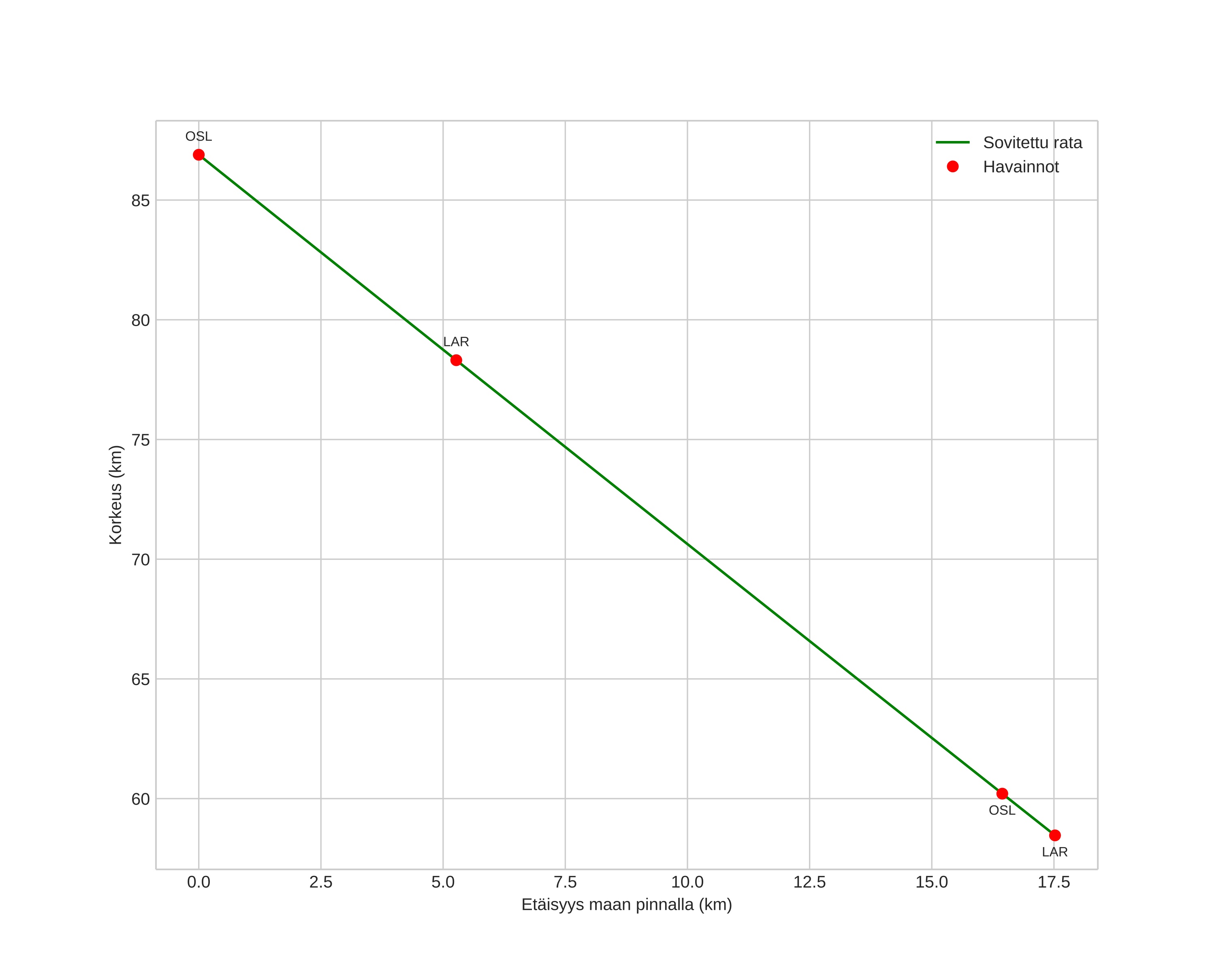
height profile
Meteorin ilmakehärata:
Alkukorkeus: 76,1 km
Loppukorkeus: 53,3 km
Alkupiste: 59,932N 10,715E
Loppupiste: 60,074N 10,712E
Suunta: 359,4°
Kallistuskulma: 55,2°
Tulonopeus: 13,6 km/s
Radiantin R,A,: 11:28 (172,2°)
Radiantin Dekl,: 15,5°
Meteoriparvi: Sporadinen
Meteoroidin rataelementit:
Perihelietäisyys: 0,939 AU
Eksentrisyys: 0,366
Inklinaatio: 2,6°
Nousevan solmun pituus: 17,0°
Perihelin argumentti: 219,8°
Keskianomalia: 342,0°
Epookki: 2021 APR 06 21:49:07
orbit plot

Ei-interaktiivinen kuvaaja | Interaktiivinen kuvaaja

position vs time
speed and acceleration