🇳🇴 🇬🇧 🇩🇪 🇨🇿 🇫🇮

Meteor, poloha: Moi 2021-04-10 22:44:29 UTC

Soubor KML  |  InteraktivnĂ­ mapa

Mapa zobrazuje dráhy meteoru. Světlejší čáry ukazují směry od pozorovacích stanic při objevení se meteoru a tmavší čáry, kde byl naposledy viděn. Modrá šipka značí viditelnou dráhu meteoru.

static map
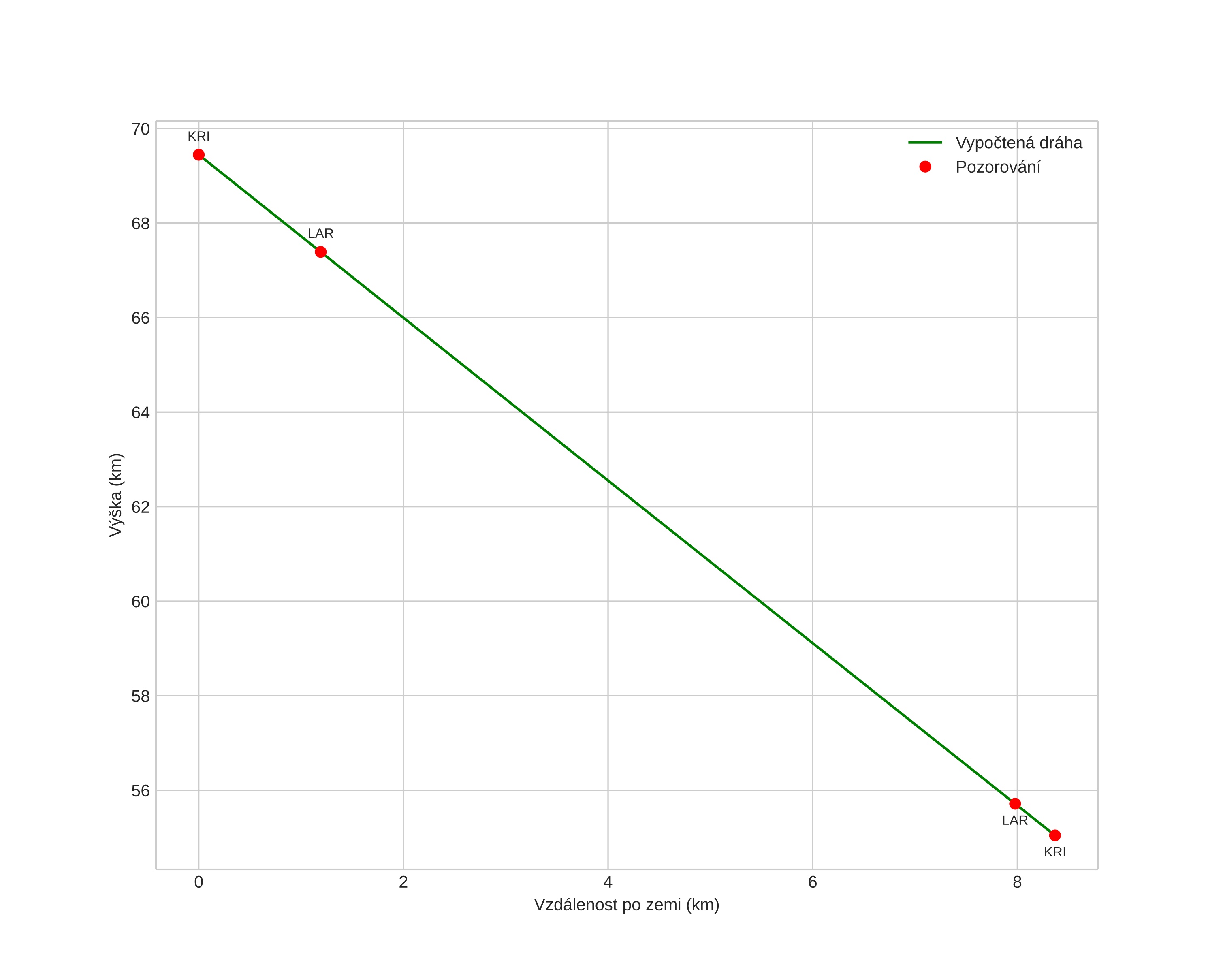
height profile
Atmosférická dráha meteoru:
Počáteční výška: 69,9 km
Konečná výška: 55,8 km
Počáteční poloha: 58,435N 6,628E
Konečná poloha: 58,504N 6,684E
Směr: 23,1°
Sklon: 59,4°
VstupnĂ­ rychlost: 14,4 km/s
Rektascenze radiantu: 11:22 (170,6°)
Deklinace radiantu: 22,3°
MeteorickĂ˝ roj: sporadickĂ˝
Elementy dráhy meteoroidu:
Vzdálenost v periheliu: 0,953 AU
Excentricita: 0,481
Sklon dráhy: 4,3°
Délka vzestupného uzlu: 21,0°
Argument perihelia: 211,9°
Střední anomálie: 349,9°
Epocha: 2021 APR 10 22:44:29
orbit plot

NeinteraktivnĂ­ graf | InteraktivnĂ­ graf

position vs time
speed and acceleration