🇳🇴 🇬🇧 🇩🇪 🇨🇿 🇫🇮

Meteor Moin yllä 2021-04-10 22:44:29 UTC

KML-tiedosto  |  Interaktiivinen kartta

Kartta näyttää meteorin suuntahavainnot. Vaaleammat viivat näyttävät suunnat havaintoasemilta meteorin ilmestyessä, ja tummemmat viivat näyttävät, missä se viimeksi nähtiin. Sininen nuoli näyttää meteorin näkyvän lennon.

static map
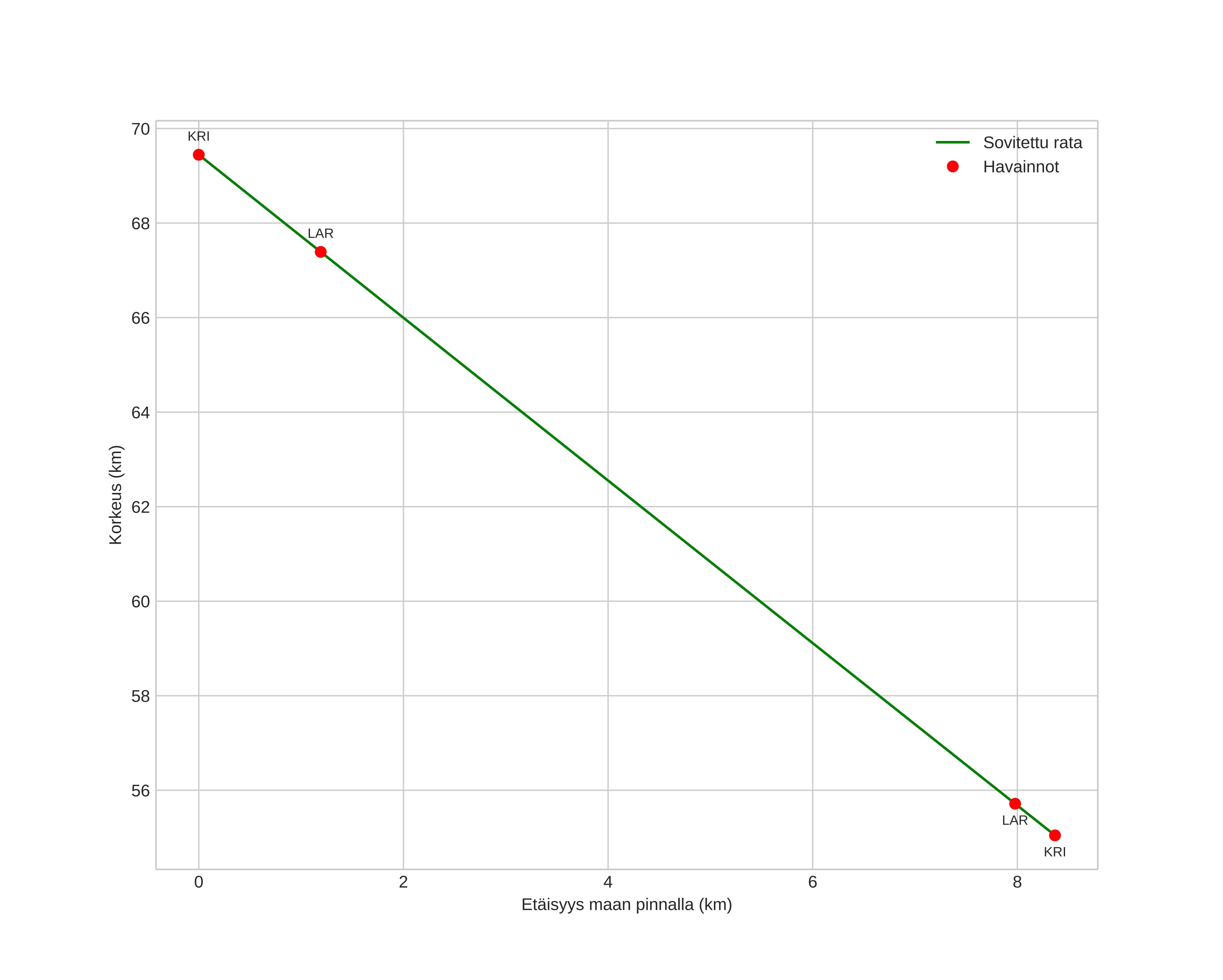
height profile
Meteorin ilmakehärata:
Alkukorkeus: 69,9 km
Loppukorkeus: 55,8 km
Alkupiste: 58,435N 6,628E
Loppupiste: 58,504N 6,684E
Suunta: 23,1°
Kallistuskulma: 59,4°
Tulonopeus: 14,4 km/s
Radiantin R,A,: 11:22 (170,6°)
Radiantin Dekl,: 22,3°
Meteoriparvi: Sporadinen
Meteoroidin rataelementit:
Perihelietäisyys: 0,953 AU
Eksentrisyys: 0,481
Inklinaatio: 4,3°
Nousevan solmun pituus: 21,0°
Perihelin argumentti: 211,9°
Keskianomalia: 349,9°
Epookki: 2021 APR 10 22:44:29
orbit plot

Ei-interaktiivinen kuvaaja | Interaktiivinen kuvaaja

position vs time
speed and acceleration