🇳🇴 🇬🇧 🇩🇪 🇨🇿 🇫🇮

Meteor, poloha: Grenaa 2021-04-11 01:25:34 UTC

Soubor KML  |  InteraktivnĂ­ mapa

Mapa zobrazuje dráhy meteoru. Světlejší čáry ukazují směry od pozorovacích stanic při objevení se meteoru a tmavší čáry, kde byl naposledy viděn. Modrá šipka značí viditelnou dráhu meteoru.

static map
height profile
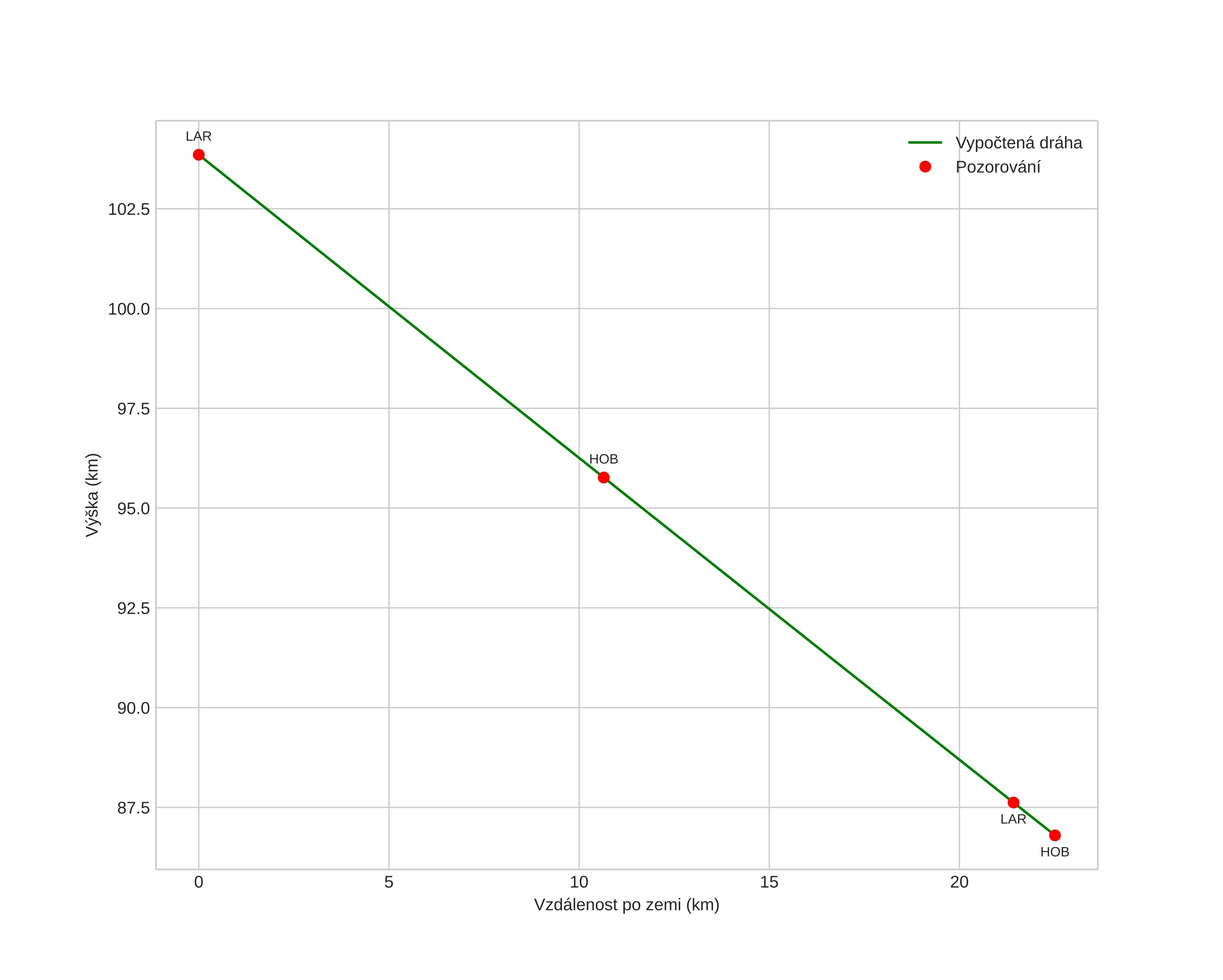
Atmosférická dráha meteoru:
Počáteční výška: 104,0 km
Konečná výška: 85,4 km
Počáteční poloha: 56,186N 11,184E
Konečná poloha: 56,370N 10,972E
Směr: 327,6°
Sklon: 37,4°
VstupnĂ­ rychlost: 62,4 km/s
Rektascenze radiantu: 17:08 (257,1°)
Deklinace radiantu: 7,1°
MeteorickĂ˝ roj: sporadickĂ˝
Elementy dráhy meteoroidu:
Vzdálenost v periheliu: 0,575 AU
Excentricita: 1,181
Sklon dráhy: 113,5°
Délka vzestupného uzlu: 21,1°
Argument perihelia: 257,7°
Střední anomálie: -6,1°
Epocha: 2021 APR 11 01:25:34
orbit plot

NeinteraktivnĂ­ graf | InteraktivnĂ­ graf

position vs time
speed and acceleration