🇳🇴 🇬🇧 🇩🇪 🇨🇿 🇫🇮

Meteor Grenaan yllä 2021-04-11 01:25:34 UTC

KML-tiedosto  |  Interaktiivinen kartta

Kartta näyttää meteorin suuntahavainnot. Vaaleammat viivat näyttävät suunnat havaintoasemilta meteorin ilmestyessä, ja tummemmat viivat näyttävät, missä se viimeksi nähtiin. Sininen nuoli näyttää meteorin näkyvän lennon.

static map
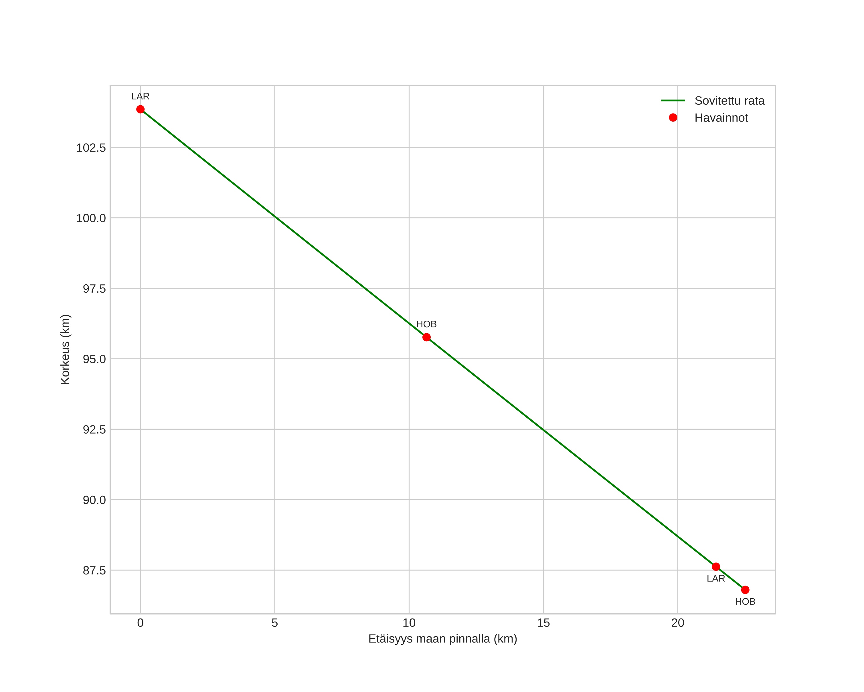
height profile
Meteorin ilmakehärata:
Alkukorkeus: 104,0 km
Loppukorkeus: 85,4 km
Alkupiste: 56,186N 11,184E
Loppupiste: 56,370N 10,972E
Suunta: 327,6°
Kallistuskulma: 37,4°
Tulonopeus: 62,4 km/s
Radiantin R,A,: 17:08 (257,1°)
Radiantin Dekl,: 7,1°
Meteoriparvi: Sporadinen
Meteoroidin rataelementit:
Perihelietäisyys: 0,575 AU
Eksentrisyys: 1,181
Inklinaatio: 113,5°
Nousevan solmun pituus: 21,1°
Perihelin argumentti: 257,7°
Keskianomalia: -6,1°
Epookki: 2021 APR 11 01:25:34
orbit plot

Ei-interaktiivinen kuvaaja | Interaktiivinen kuvaaja

position vs time
speed and acceleration