🇳🇴 🇬🇧 🇩🇪 🇨🇿 🇫🇮

Meteor, poloha: Strømmen 2021-04-14 00:10:18 UTC

Soubor KML  |  InteraktivnĂ­ mapa

Mapa zobrazuje dráhy meteoru. Světlejší čáry ukazují směry od pozorovacích stanic při objevení se meteoru a tmavší čáry, kde byl naposledy viděn. Modrá šipka značí viditelnou dráhu meteoru.

static map
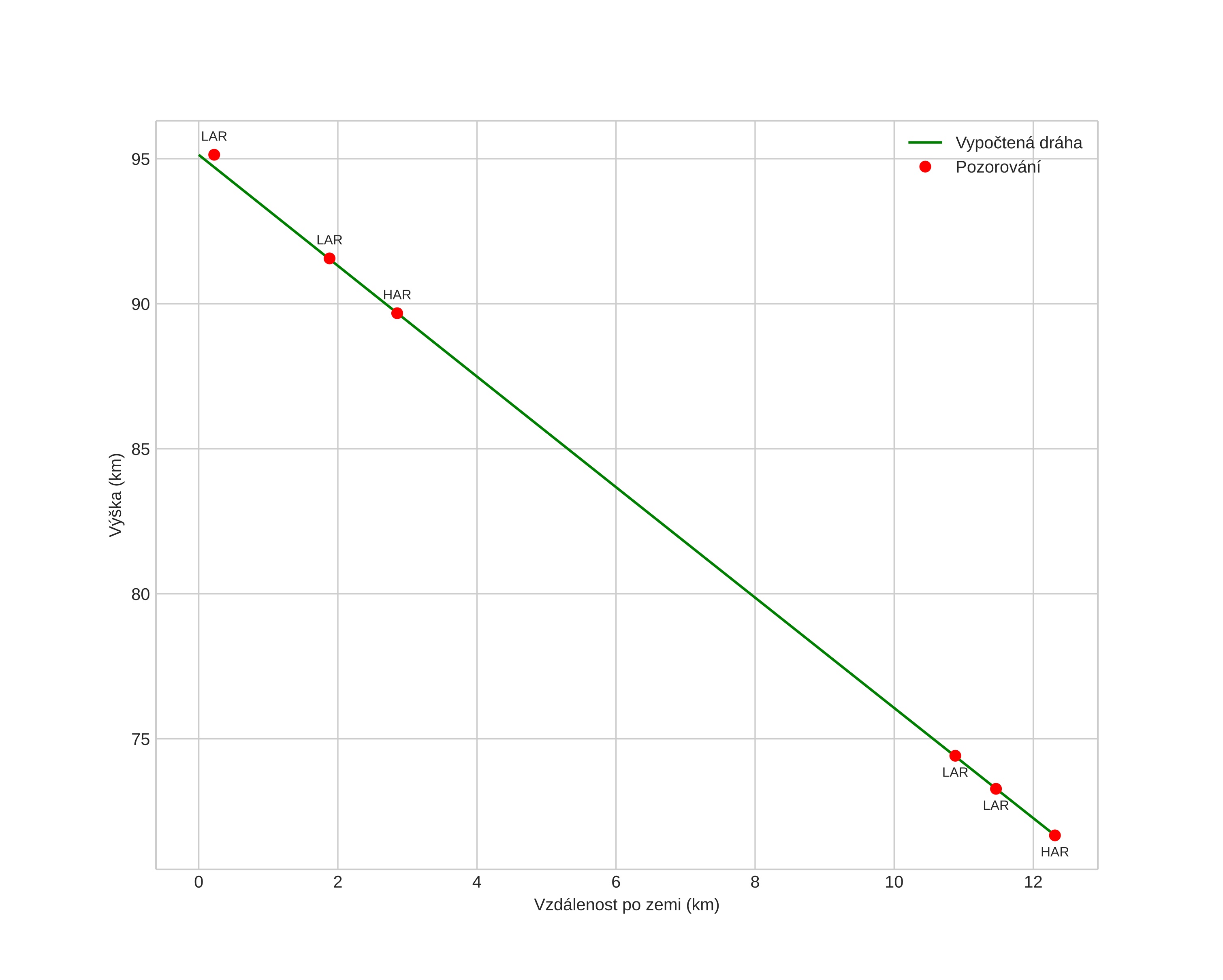
height profile
Atmosférická dráha meteoru:
Počáteční výška: 93,4 km
Konečná výška: 72,5 km
Počáteční poloha: 60,002N 11,116E
Konečná poloha: 59,921N 11,020E
Směr: 210,6°
Sklon: 63,4°
VstupnĂ­ rychlost: 23,8 km/s
Rektascenze radiantu: 18:59 (285,0°)
Deklinace radiantu: 75,6°
MeteorickĂ˝ roj: sporadickĂ˝
Elementy dráhy meteoroidu:
Vzdálenost v periheliu: 0,995 AU
Excentricita: 0,677
Sklon dráhy: 32,6°
Délka vzestupného uzlu: 24,0°
Argument perihelia: 168,4°
Střední anomálie: 1,6°
Epocha: 2021 APR 14 00:10:18
orbit plot

NeinteraktivnĂ­ graf | InteraktivnĂ­ graf

position vs time
speed and acceleration