🇳🇴 🇬🇧 🇩🇪 🇨🇿 🇫🇮

Meteor Strømmenin yllä 2021-04-14 00:10:18 UTC

KML-tiedosto  |  Interaktiivinen kartta

Kartta näyttää meteorin suuntahavainnot. Vaaleammat viivat näyttävät suunnat havaintoasemilta meteorin ilmestyessä, ja tummemmat viivat näyttävät, missä se viimeksi nähtiin. Sininen nuoli näyttää meteorin näkyvän lennon.

static map
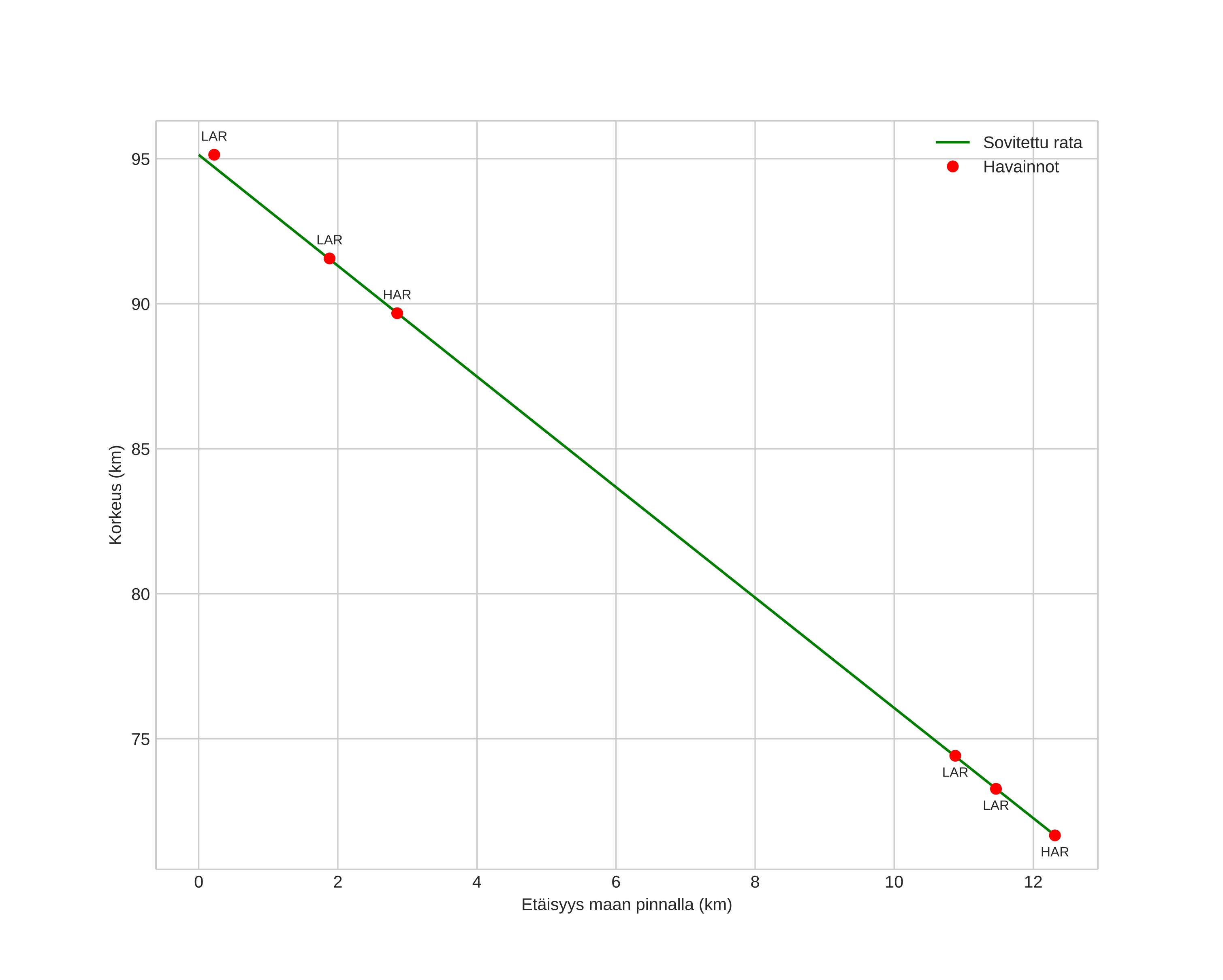
height profile
Meteorin ilmakehärata:
Alkukorkeus: 93,4 km
Loppukorkeus: 72,5 km
Alkupiste: 60,002N 11,116E
Loppupiste: 59,921N 11,020E
Suunta: 210,6°
Kallistuskulma: 63,4°
Tulonopeus: 23,8 km/s
Radiantin R,A,: 18:59 (285,0°)
Radiantin Dekl,: 75,6°
Meteoriparvi: Sporadinen
Meteoroidin rataelementit:
Perihelietäisyys: 0,995 AU
Eksentrisyys: 0,677
Inklinaatio: 32,6°
Nousevan solmun pituus: 24,0°
Perihelin argumentti: 168,4°
Keskianomalia: 1,6°
Epookki: 2021 APR 14 00:10:18
orbit plot

Ei-interaktiivinen kuvaaja | Interaktiivinen kuvaaja

position vs time
speed and acceleration