🇳🇴 🇬🇧 🇩🇪 🇨🇿 🇫🇮

Meteor, poloha: Kiruna 2021-04-15 23:30:19 UTC

Soubor KML  |  Interaktivní mapa

Mapa zobrazuje dráhy meteoru. Světlejší čáry ukazují směry od pozorovacích stanic při objevení se meteoru a tmavší čáry, kde byl naposledy viděn. Modrá šipka značí viditelnou dráhu meteoru.

static map
height profile
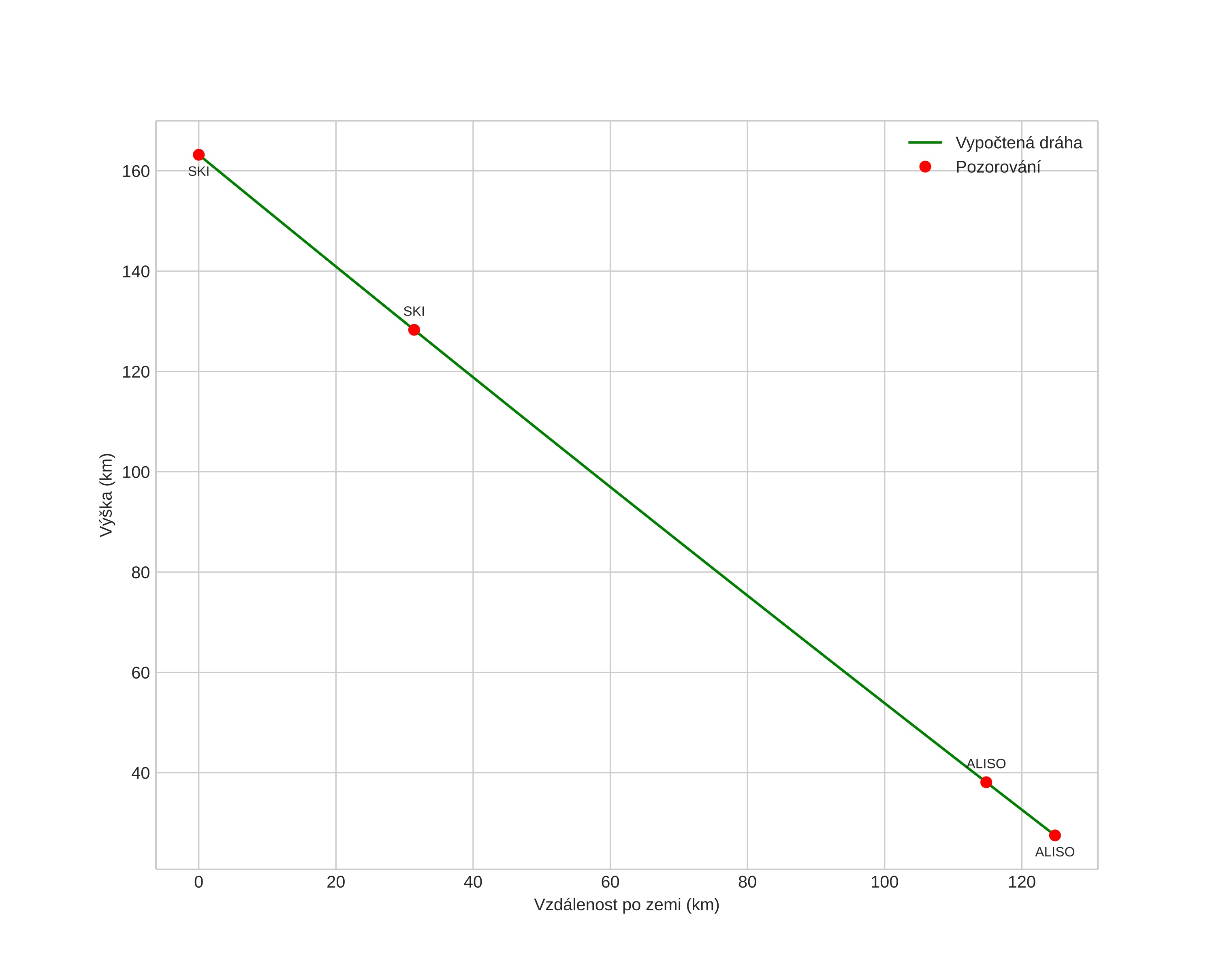
Atmosférická dráha meteoru:
Počáteční výška: 162,1 km
Konečná výška: 29,9 km
Počáteční poloha: 67,819N 17,067E
Konečná poloha: 68,015N 19,918E
Směr: 78,3°
Sklon: 47,5°
orbit plot
position vs time
speed and acceleration