🇳🇴 🇬🇧 🇩🇪 🇨🇿 🇫🇮

Meteor Kirunan yllä 2021-04-15 23:30:19 UTC

KML-tiedosto  |  Interaktiivinen kartta

Kartta näyttää meteorin suuntahavainnot. Vaaleammat viivat näyttävät suunnat havaintoasemilta meteorin ilmestyessä, ja tummemmat viivat näyttävät, missä se viimeksi nähtiin. Sininen nuoli näyttää meteorin näkyvän lennon.

static map
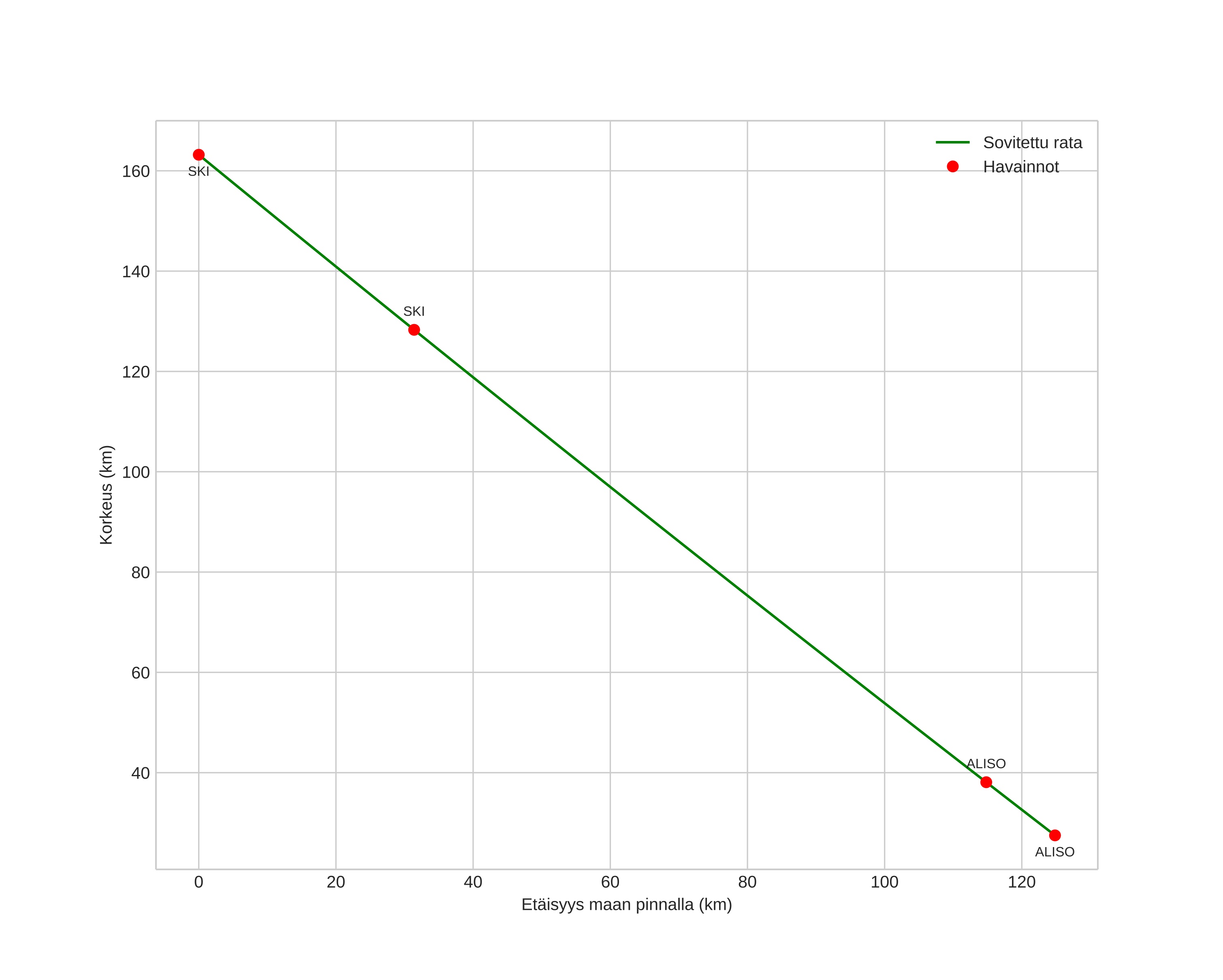
height profile
Meteorin ilmakehärata:
Alkukorkeus: 162,1 km
Loppukorkeus: 29,9 km
Alkupiste: 67,819N 17,067E
Loppupiste: 68,015N 19,918E
Suunta: 78,3°
Kallistuskulma: 47,5°
orbit plot
position vs time
speed and acceleration