🇳🇴 🇬🇧 🇩🇪 🇨🇿 🇫🇮

Meteor, poloha: Storslett 2021-04-17 22:50:47 UTC

Soubor KML  |  InteraktivnĂ­ mapa

Mapa zobrazuje dráhy meteoru. Světlejší čáry ukazují směry od pozorovacích stanic při objevení se meteoru a tmavší čáry, kde byl naposledy viděn. Modrá šipka značí viditelnou dráhu meteoru.

static map
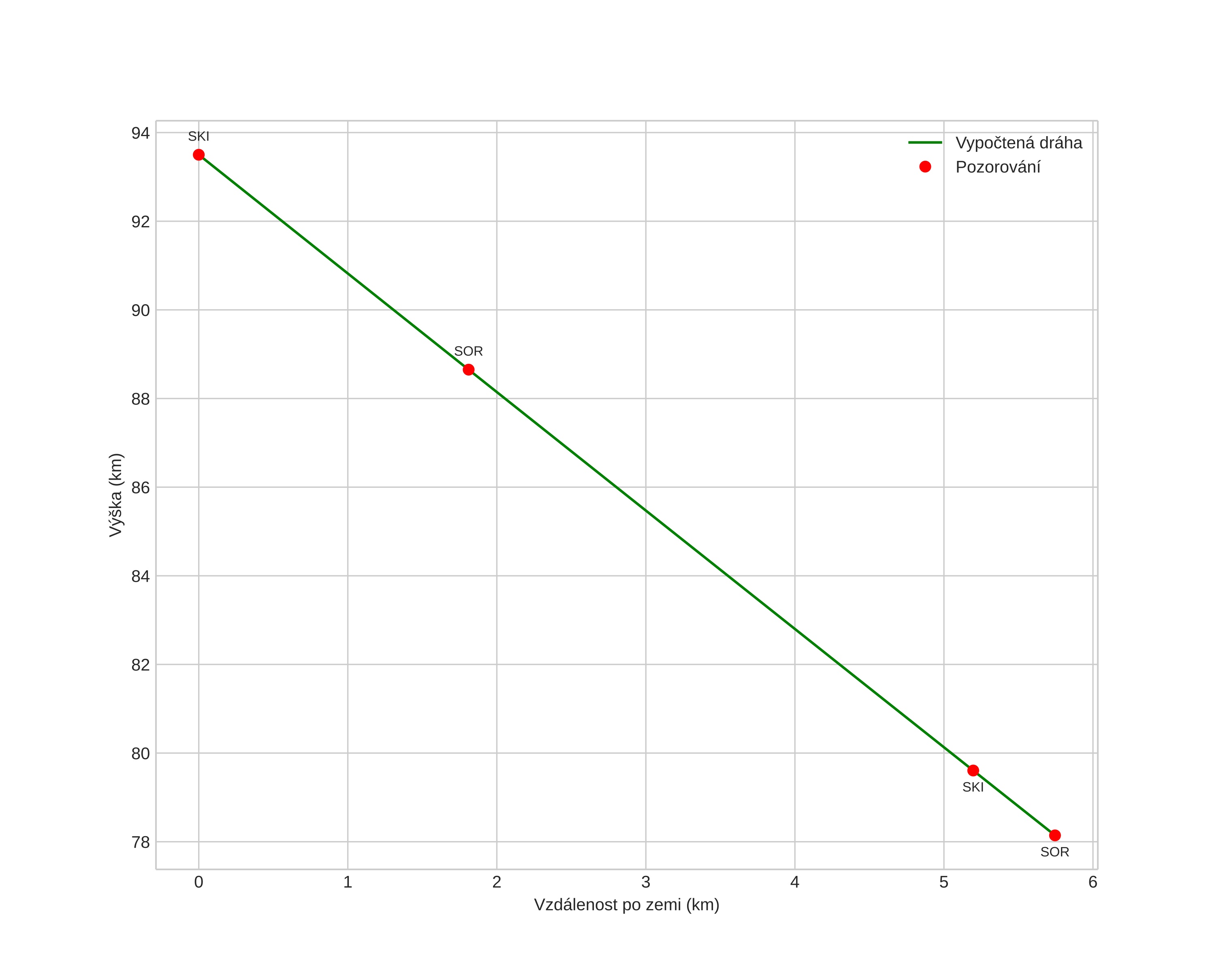
height profile
Atmosférická dráha meteoru:
Počáteční výška: 93,9 km
Konečná výška: 77,1 km
Počáteční poloha: 69,272N 21,224E
Konečná poloha: 69,233N 21,341E
Směr: 132,6°
Sklon: 69,5°
VstupnĂ­ rychlost: 17,3 km/s
Rektascenze radiantu: 08:55 (133,9°)
Deklinace radiantu: 72,0°
MeteorickĂ˝ roj: sporadickĂ˝
Elementy dráhy meteoroidu:
Vzdálenost v periheliu: 1,002 AU
Excentricita: 0,747
Sklon dráhy: 15,4°
Délka vzestupného uzlu: 27,9°
Argument perihelia: 174,6°
Střední anomálie: 0,5°
Epocha: 2021 APR 17 22:50:47
orbit plot

NeinteraktivnĂ­ graf | InteraktivnĂ­ graf

position vs time
speed and acceleration