🇳🇴 🇬🇧 🇩🇪 🇨🇿 🇫🇮

Meteor Storslettin yllä 2021-04-17 22:50:47 UTC

KML-tiedosto  |  Interaktiivinen kartta

Kartta näyttää meteorin suuntahavainnot. Vaaleammat viivat näyttävät suunnat havaintoasemilta meteorin ilmestyessä, ja tummemmat viivat näyttävät, missä se viimeksi nähtiin. Sininen nuoli näyttää meteorin näkyvän lennon.

static map
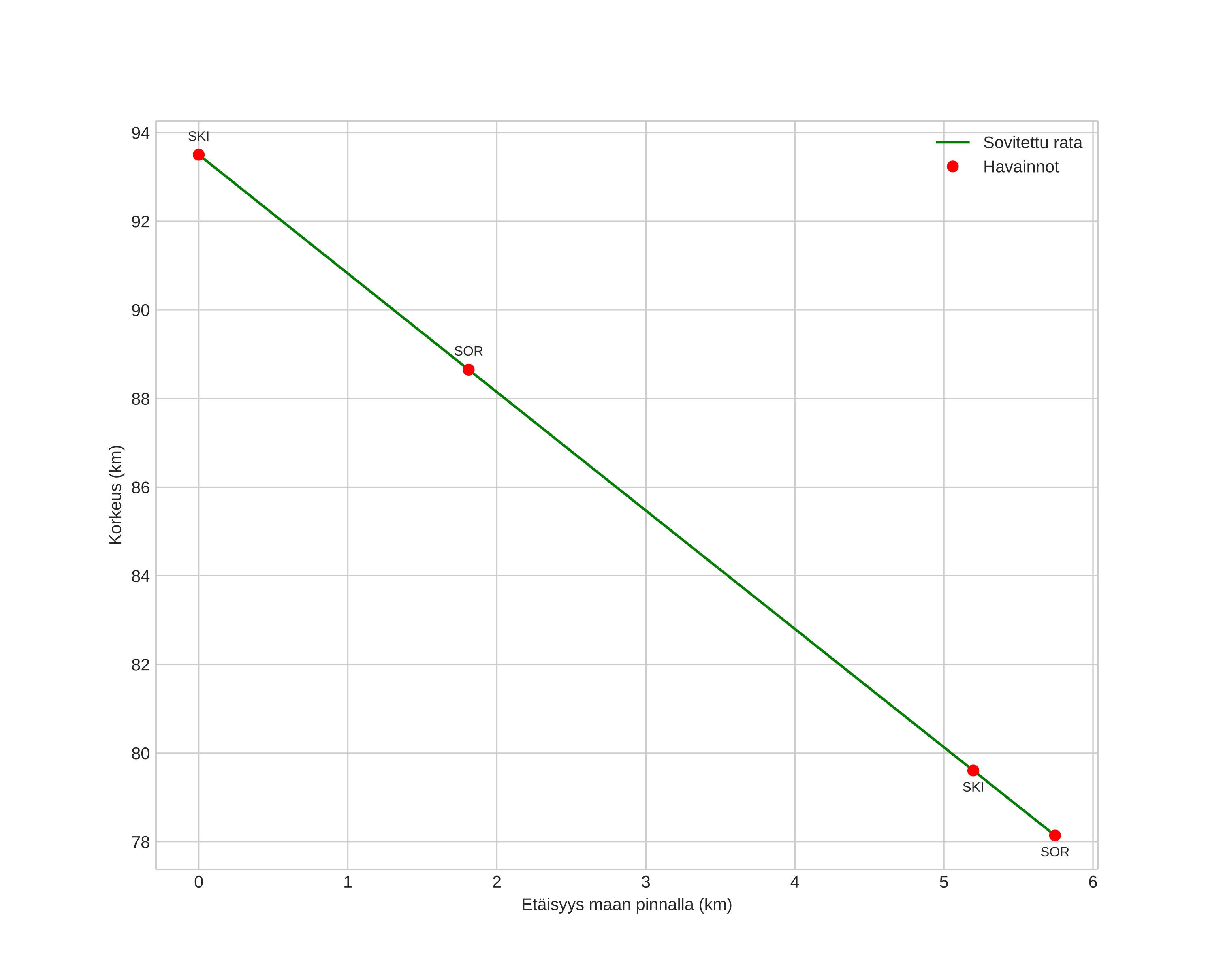
height profile
Meteorin ilmakehärata:
Alkukorkeus: 93,9 km
Loppukorkeus: 77,1 km
Alkupiste: 69,272N 21,224E
Loppupiste: 69,233N 21,341E
Suunta: 132,6°
Kallistuskulma: 69,5°
Tulonopeus: 17,3 km/s
Radiantin R,A,: 08:55 (133,9°)
Radiantin Dekl,: 72,0°
Meteoriparvi: Sporadinen
Meteoroidin rataelementit:
Perihelietäisyys: 1,002 AU
Eksentrisyys: 0,747
Inklinaatio: 15,4°
Nousevan solmun pituus: 27,9°
Perihelin argumentti: 174,6°
Keskianomalia: 0,5°
Epookki: 2021 APR 17 22:50:47
orbit plot

Ei-interaktiivinen kuvaaja | Interaktiivinen kuvaaja

position vs time
speed and acceleration

Skibotn (SKI) cam1


gnomonic
Videot:
• Gnomoninen
• Gnomoninen koordinaateilla
• Alkuperäinen
• Alkuperäinen koordinaateilla
Kuvat:
• Gnomoninen
• Gnomoninen koordinaateilla
• Gnomoninen merkinnöillä
• Alkuperäinen
• Alkuperäinen koordinaateilla
• Alkuperäinen maskilla
Tekstitiedostot:
• Havaintoraportti
• Observaatio
• Koordinaatit
• Virheilmoitukset
• Loki
Kirkkaus