🇳🇴 🇬🇧 🇩🇪 🇨🇿 🇫🇮

Meteor, poloha: Vik 2021-04-17 23:11:31 UTC

Soubor KML  |  InteraktivnĂ­ mapa

Mapa zobrazuje dráhy meteoru. Světlejší čáry ukazují směry od pozorovacích stanic při objevení se meteoru a tmavší čáry, kde byl naposledy viděn. Modrá šipka značí viditelnou dráhu meteoru.

static map
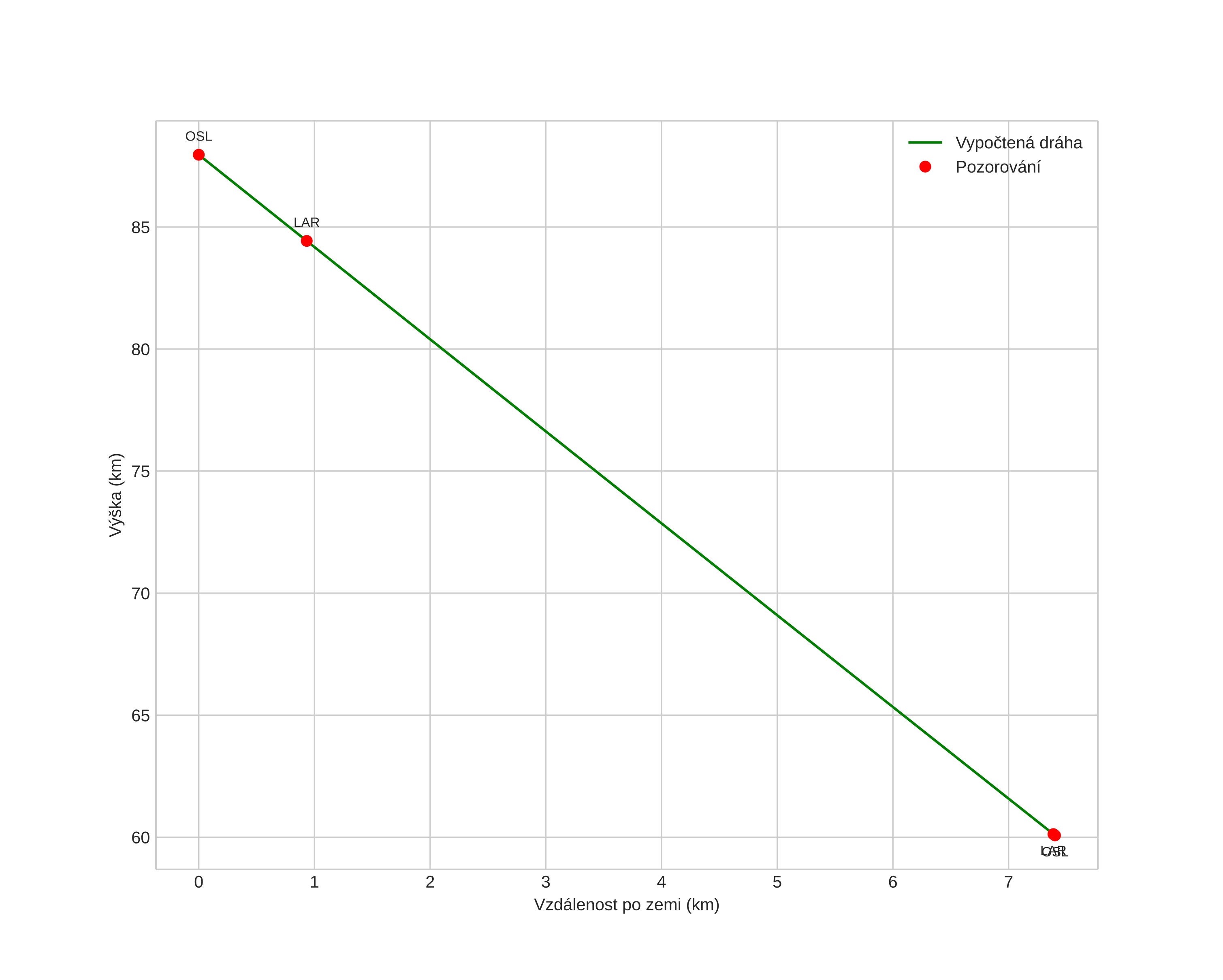
height profile
Atmosférická dráha meteoru:
Počáteční výška: 89,8 km
Konečná výška: 59,4 km
Počáteční poloha: 60,017N 10,299E
Konečná poloha: 60,050N 10,165E
Směr: 296,5°
Sklon: 74,7°
VstupnĂ­ rychlost: 25,0 km/s
Rektascenze radiantu: 15:05 (226,3°)
Deklinace radiantu: 50,4°
MeteorickĂ˝ roj: sporadickĂ˝
Elementy dráhy meteoroidu:
Vzdálenost v periheliu: 0,934 AU
Excentricita: 0,725
Sklon dráhy: 31,9°
Délka vzestupného uzlu: 27,9°
Argument perihelia: 213,6°
Střední anomálie: 356,1°
Epocha: 2021 APR 17 23:11:31
orbit plot

NeinteraktivnĂ­ graf | InteraktivnĂ­ graf

position vs time
speed and acceleration