🇳🇴 🇬🇧 🇩🇪 🇨🇿 🇫🇮

Meteor Vikin yllä 2021-04-17 23:11:31 UTC

KML-tiedosto  |  Interaktiivinen kartta

Kartta näyttää meteorin suuntahavainnot. Vaaleammat viivat näyttävät suunnat havaintoasemilta meteorin ilmestyessä, ja tummemmat viivat näyttävät, missä se viimeksi nähtiin. Sininen nuoli näyttää meteorin näkyvän lennon.

static map
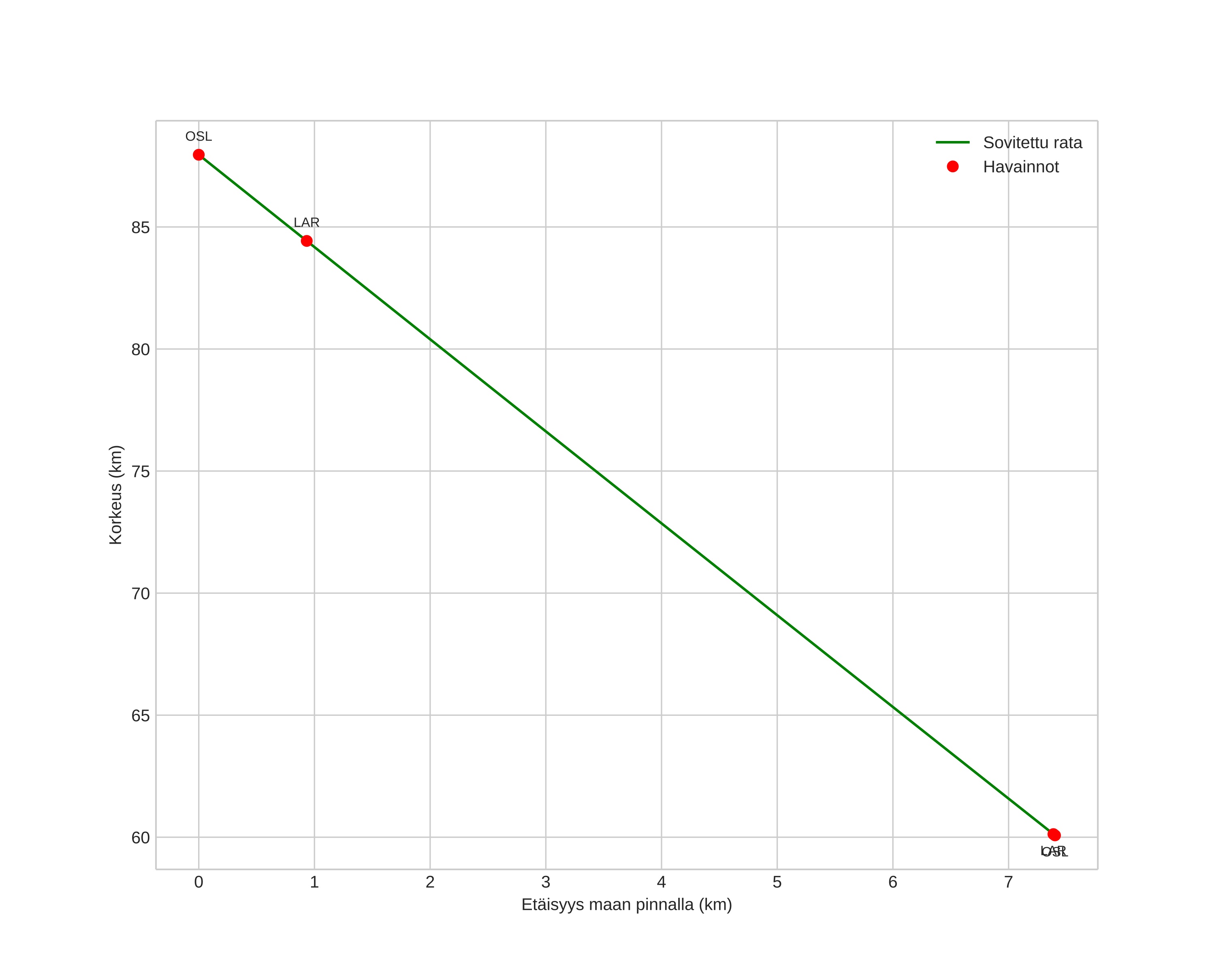
height profile
Meteorin ilmakehärata:
Alkukorkeus: 89,8 km
Loppukorkeus: 59,4 km
Alkupiste: 60,017N 10,299E
Loppupiste: 60,050N 10,165E
Suunta: 296,5°
Kallistuskulma: 74,7°
Tulonopeus: 25,0 km/s
Radiantin R,A,: 15:05 (226,3°)
Radiantin Dekl,: 50,4°
Meteoriparvi: Sporadinen
Meteoroidin rataelementit:
Perihelietäisyys: 0,934 AU
Eksentrisyys: 0,725
Inklinaatio: 31,9°
Nousevan solmun pituus: 27,9°
Perihelin argumentti: 213,6°
Keskianomalia: 356,1°
Epookki: 2021 APR 17 23:11:31
orbit plot

Ei-interaktiivinen kuvaaja | Interaktiivinen kuvaaja

position vs time
speed and acceleration