🇳🇴 🇬🇧 🇩🇪 🇨🇿 🇫🇮

Meteor, poloha: Kongsberg 2021-04-19 01:35:53 UTC

Soubor KML  |  InteraktivnĂ­ mapa

Mapa zobrazuje dráhy meteoru. Světlejší čáry ukazují směry od pozorovacích stanic při objevení se meteoru a tmavší čáry, kde byl naposledy viděn. Modrá šipka značí viditelnou dráhu meteoru.

static map
height profile
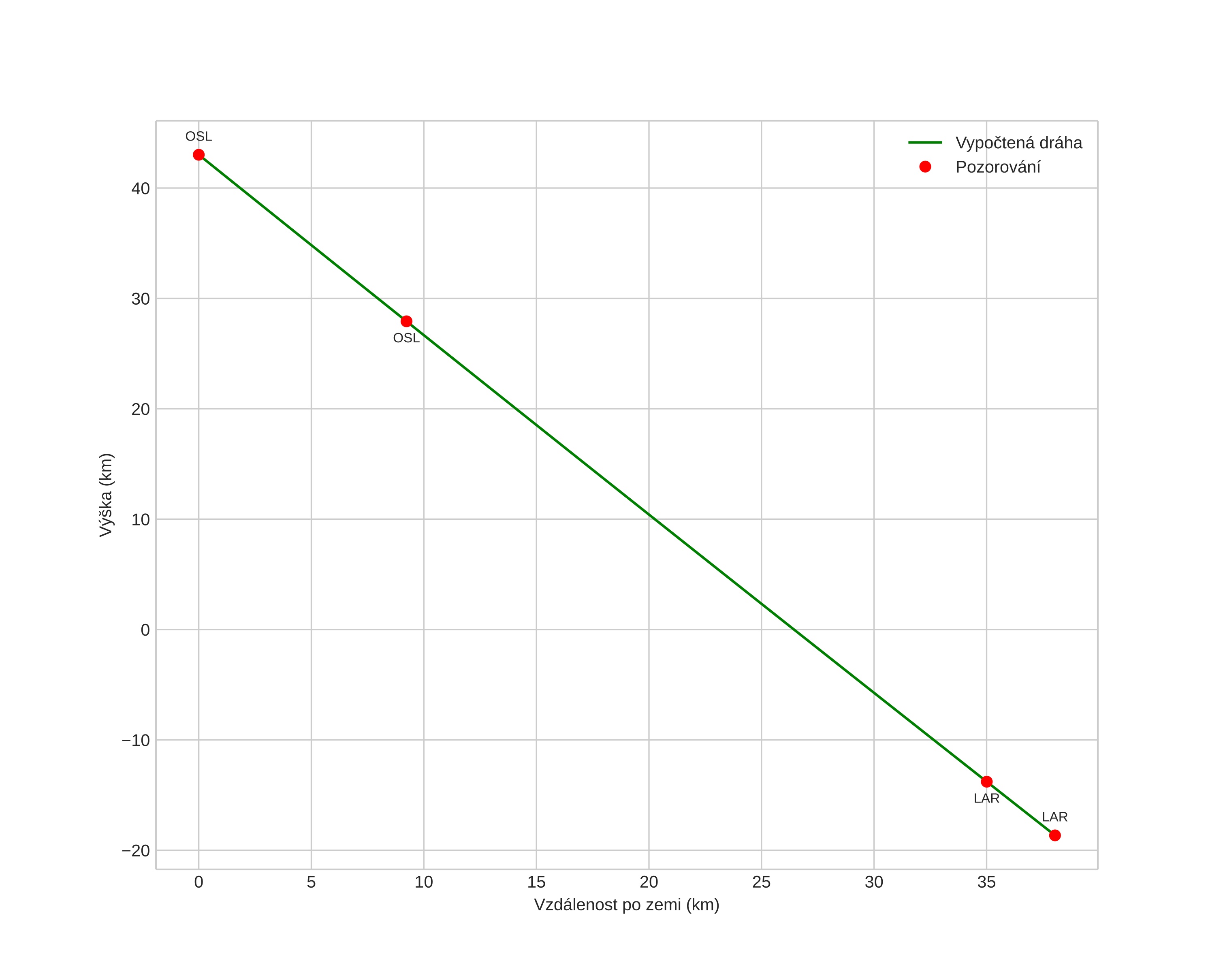
Atmosférická dráha meteoru:
Počáteční výška: 41,3 km
Konečná výška: -18,5 km
Počáteční poloha: 59,329N 10,202E
Konečná poloha: 59,529N 9,693E
Směr: 308,0°
Sklon: 58,7°
orbit plot
position vs time
speed and acceleration