🇳🇴 🇬🇧 🇩🇪 🇨🇿 🇫🇮

Meteor Kongsbergin yllä 2021-04-19 01:35:53 UTC

KML-tiedosto  |  Interaktiivinen kartta

Kartta näyttää meteorin suuntahavainnot. Vaaleammat viivat näyttävät suunnat havaintoasemilta meteorin ilmestyessä, ja tummemmat viivat näyttävät, missä se viimeksi nähtiin. Sininen nuoli näyttää meteorin näkyvän lennon.

static map
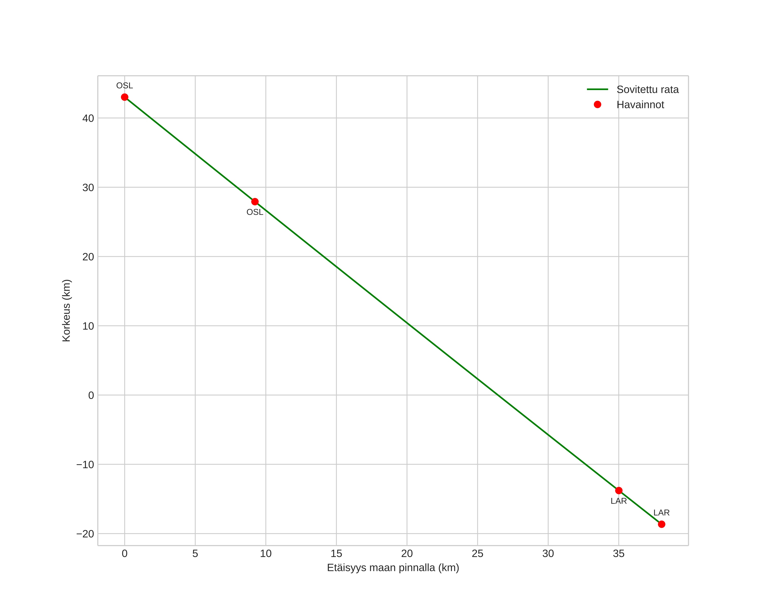
height profile
Meteorin ilmakehärata:
Alkukorkeus: 41,3 km
Loppukorkeus: -18,5 km
Alkupiste: 59,329N 10,202E
Loppupiste: 59,529N 9,693E
Suunta: 308,0°
Kallistuskulma: 58,7°
orbit plot
position vs time
speed and acceleration