🇳🇴 🇬🇧 🇩🇪 🇨🇿 🇫🇮

Meteor, poloha: Hvittingfoss 2021-04-19 20:23:25 UTC

Soubor KML  |  InteraktivnĂ­ mapa

Mapa zobrazuje dráhy meteoru. Světlejší čáry ukazují směry od pozorovacích stanic při objevení se meteoru a tmavší čáry, kde byl naposledy viděn. Modrá šipka značí viditelnou dráhu meteoru.

static map
height profile
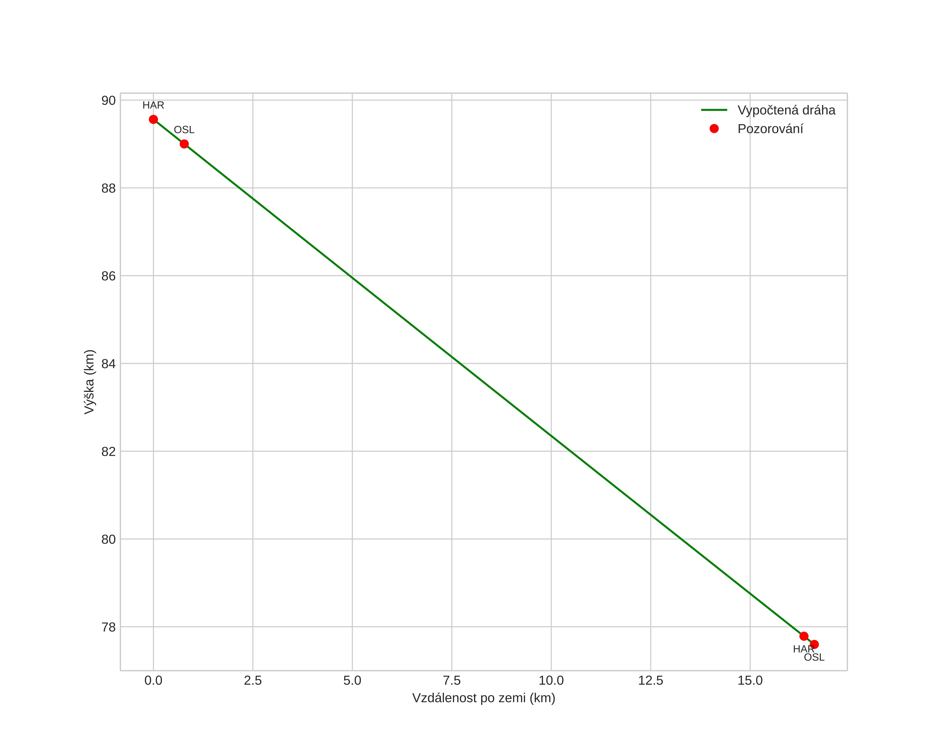
Atmosférická dráha meteoru:
Počáteční výška: 90,2 km
Konečná výška: 78,5 km
Počáteční poloha: 59,550N 10,079E
Konečná poloha: 59,431N 9,899E
Směr: 217,7°
Sklon: 35,1°
VstupnĂ­ rychlost: 39,1 km/s
Rektascenze radiantu: 18:53 (283,3°)
Deklinace radiantu: 54,6°
MeteorickĂ˝ roj: sporadickĂ˝
Elementy dráhy meteoroidu:
Vzdálenost v periheliu: 1,004 AU
Excentricita: 0,993
Sklon dráhy: 60,0°
Délka vzestupného uzlu: 29,7°
Argument perihelia: 176,7°
Střední anomálie: 0,0°
Epocha: 2021 APR 19 20:23:25
orbit plot

NeinteraktivnĂ­ graf | InteraktivnĂ­ graf

position vs time
speed and acceleration