🇳🇴 🇬🇧 🇩🇪 🇨🇿 🇫🇮

Meteor Hvittingfossin yllä 2021-04-19 20:23:25 UTC

KML-tiedosto  |  Interaktiivinen kartta

Kartta näyttää meteorin suuntahavainnot. Vaaleammat viivat näyttävät suunnat havaintoasemilta meteorin ilmestyessä, ja tummemmat viivat näyttävät, missä se viimeksi nähtiin. Sininen nuoli näyttää meteorin näkyvän lennon.

static map
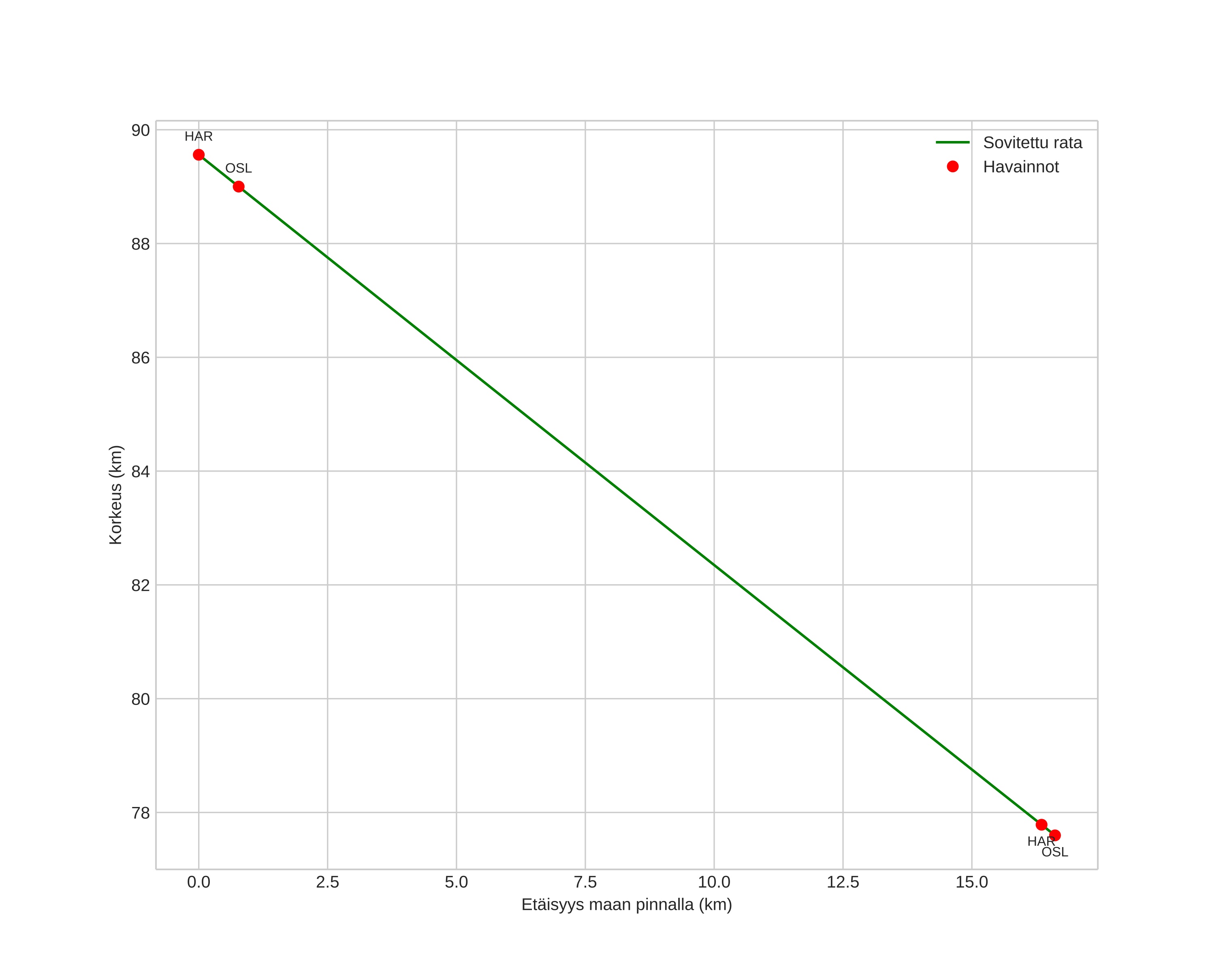
height profile
Meteorin ilmakehärata:
Alkukorkeus: 90,2 km
Loppukorkeus: 78,5 km
Alkupiste: 59,550N 10,079E
Loppupiste: 59,431N 9,899E
Suunta: 217,7°
Kallistuskulma: 35,1°
Tulonopeus: 39,1 km/s
Radiantin R,A,: 18:53 (283,3°)
Radiantin Dekl,: 54,6°
Meteoriparvi: Sporadinen
Meteoroidin rataelementit:
Perihelietäisyys: 1,004 AU
Eksentrisyys: 0,993
Inklinaatio: 60,0°
Nousevan solmun pituus: 29,7°
Perihelin argumentti: 176,7°
Keskianomalia: 0,0°
Epookki: 2021 APR 19 20:23:25
orbit plot

Ei-interaktiivinen kuvaaja | Interaktiivinen kuvaaja

position vs time
speed and acceleration