🇳🇴 🇬🇧 🇩🇪 🇨🇿 🇫🇮

Meteor, poloha: Melhus 2021-04-19 22:35:17 UTC

Soubor KML  |  InteraktivnĂ­ mapa

Mapa zobrazuje dráhy meteoru. Světlejší čáry ukazují směry od pozorovacích stanic při objevení se meteoru a tmavší čáry, kde byl naposledy viděn. Modrá šipka značí viditelnou dráhu meteoru.

static map
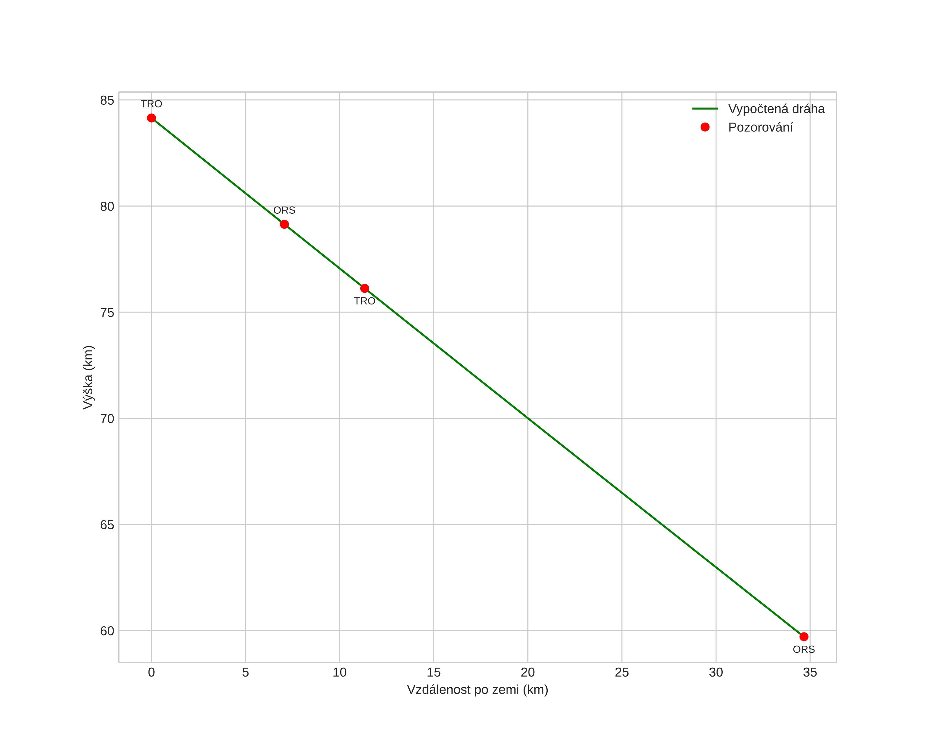
height profile
Atmosférická dráha meteoru:
Počáteční výška: 83,7 km
Konečná výška: 59,5 km
Počáteční poloha: 63,038N 10,606E
Konečná poloha: 63,310N 10,274E
Směr: 331,2°
Sklon: 35,1°
VstupnĂ­ rychlost: 24,0 km/s
Rektascenze radiantu: 14:45 (221,3°)
Deklinace radiantu: 7,3°
MeteorickĂ˝ roj: sporadickĂ˝
Elementy dráhy meteoroidu:
Vzdálenost v periheliu: 0,572 AU
Excentricita: 0,619
Sklon dráhy: 16,2°
Délka vzestupného uzlu: 29,8°
Argument perihelia: 277,2°
Střední anomálie: 332,3°
Epocha: 2021 APR 19 22:35:17
orbit plot

NeinteraktivnĂ­ graf | InteraktivnĂ­ graf

position vs time
speed and acceleration