🇳🇴 🇬🇧 🇩🇪 🇨🇿 🇫🇮

Meteor Melhusin yllä 2021-04-19 22:35:17 UTC

KML-tiedosto  |  Interaktiivinen kartta

Kartta näyttää meteorin suuntahavainnot. Vaaleammat viivat näyttävät suunnat havaintoasemilta meteorin ilmestyessä, ja tummemmat viivat näyttävät, missä se viimeksi nähtiin. Sininen nuoli näyttää meteorin näkyvän lennon.

static map
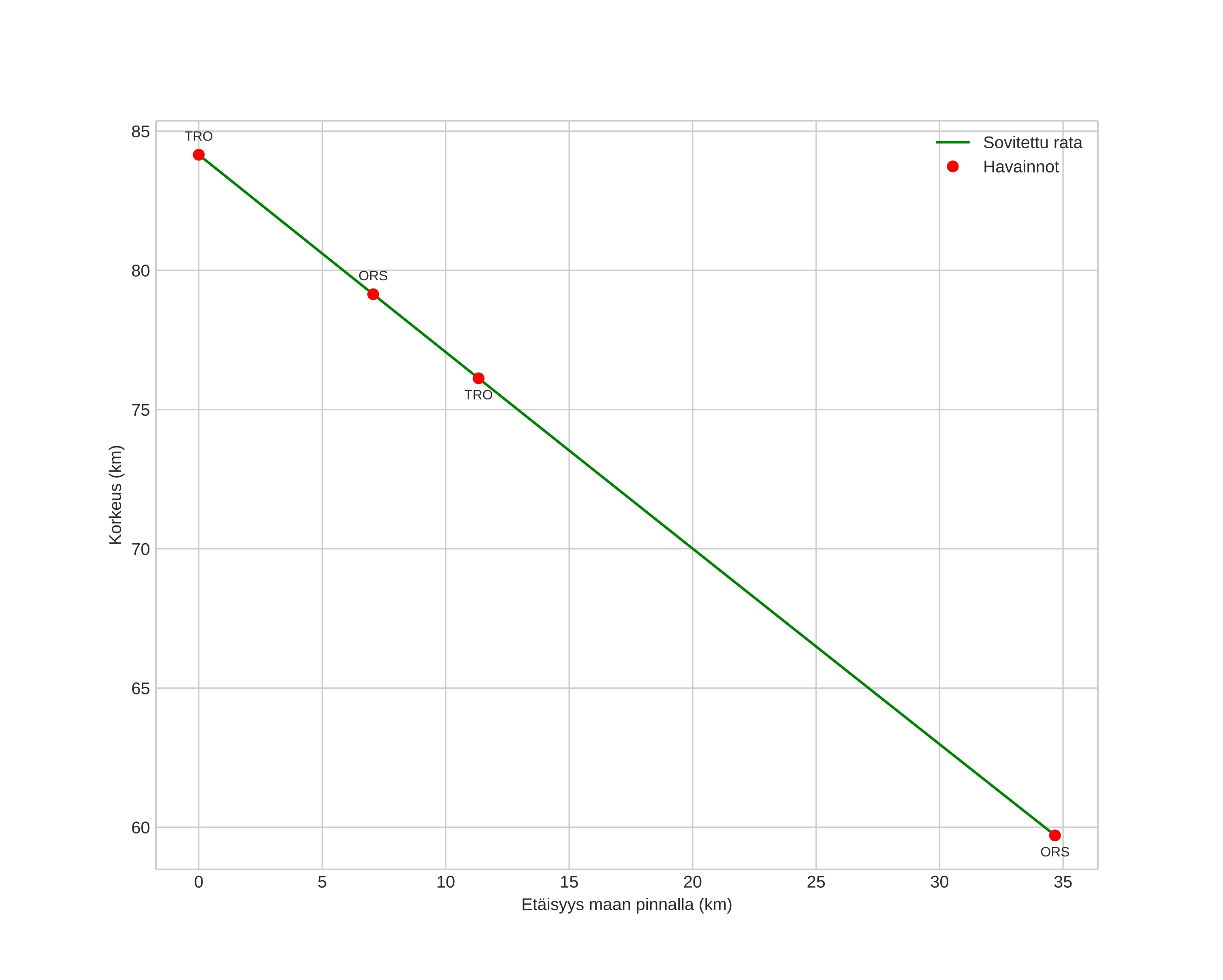
height profile
Meteorin ilmakehärata:
Alkukorkeus: 83,7 km
Loppukorkeus: 59,5 km
Alkupiste: 63,038N 10,606E
Loppupiste: 63,310N 10,274E
Suunta: 331,2°
Kallistuskulma: 35,1°
Tulonopeus: 24,0 km/s
Radiantin R,A,: 14:45 (221,3°)
Radiantin Dekl,: 7,3°
Meteoriparvi: Sporadinen
Meteoroidin rataelementit:
Perihelietäisyys: 0,572 AU
Eksentrisyys: 0,619
Inklinaatio: 16,2°
Nousevan solmun pituus: 29,8°
Perihelin argumentti: 277,2°
Keskianomalia: 332,3°
Epookki: 2021 APR 19 22:35:17
orbit plot

Ei-interaktiivinen kuvaaja | Interaktiivinen kuvaaja

position vs time
speed and acceleration