🇳🇴 🇬🇧 🇩🇪 🇨🇿 🇫🇮

Meteor, poloha: Kautokeino 2021-04-20 21:27:51 UTC

Soubor KML  |  Interaktivní mapa

Mapa zobrazuje dráhy meteoru. Světlejší čáry ukazují směry od pozorovacích stanic při objevení se meteoru a tmavší čáry, kde byl naposledy viděn. Modrá šipka značí viditelnou dráhu meteoru.

static map
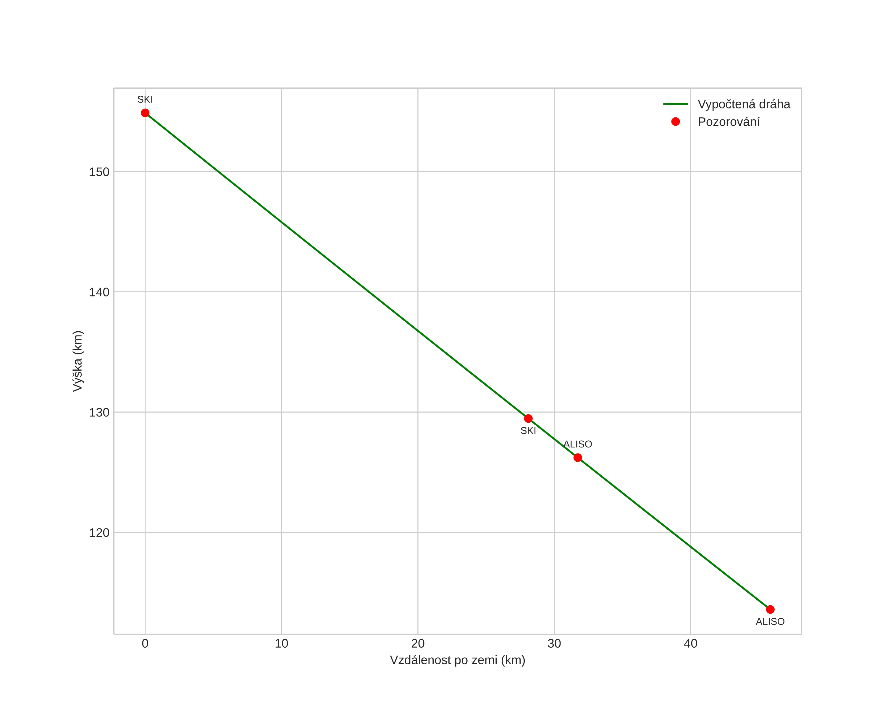
height profile
Atmosférická dráha meteoru:
Počáteční výška: 152,4 km
Konečná výška: 113,3 km
Počáteční poloha: 68,206N 22,821E
Konečná poloha: 68,278N 21,792E
Směr: 281,1°
Sklon: 42,2°
Vstupní rychlost: 88,9 km/s
Rektascenze radiantu: 17:03 (255,9°)
Deklinace radiantu: 34,6°
Meteorický roj: sporadický
Elementy dráhy meteoroidu:
Vzdálenost v periheliu: 0,880 AU
Excentricita: 6,052
Sklon dráhy: 89,8°
Délka vzestupného uzlu: 30,7°
Argument perihelia: 211,2°
Střední anomálie: -145,9°
Epocha: 2021 APR 20 21:27:51
orbit plot

Neinteraktivní graf | Interaktivní graf

position vs time
speed and acceleration