🇳🇴 🇬🇧 🇩🇪 🇨🇿 🇫🇮

Meteor Kautokeinon yllä 2021-04-20 21:27:51 UTC

KML-tiedosto  |  Interaktiivinen kartta

Kartta näyttää meteorin suuntahavainnot. Vaaleammat viivat näyttävät suunnat havaintoasemilta meteorin ilmestyessä, ja tummemmat viivat näyttävät, missä se viimeksi nähtiin. Sininen nuoli näyttää meteorin näkyvän lennon.

static map
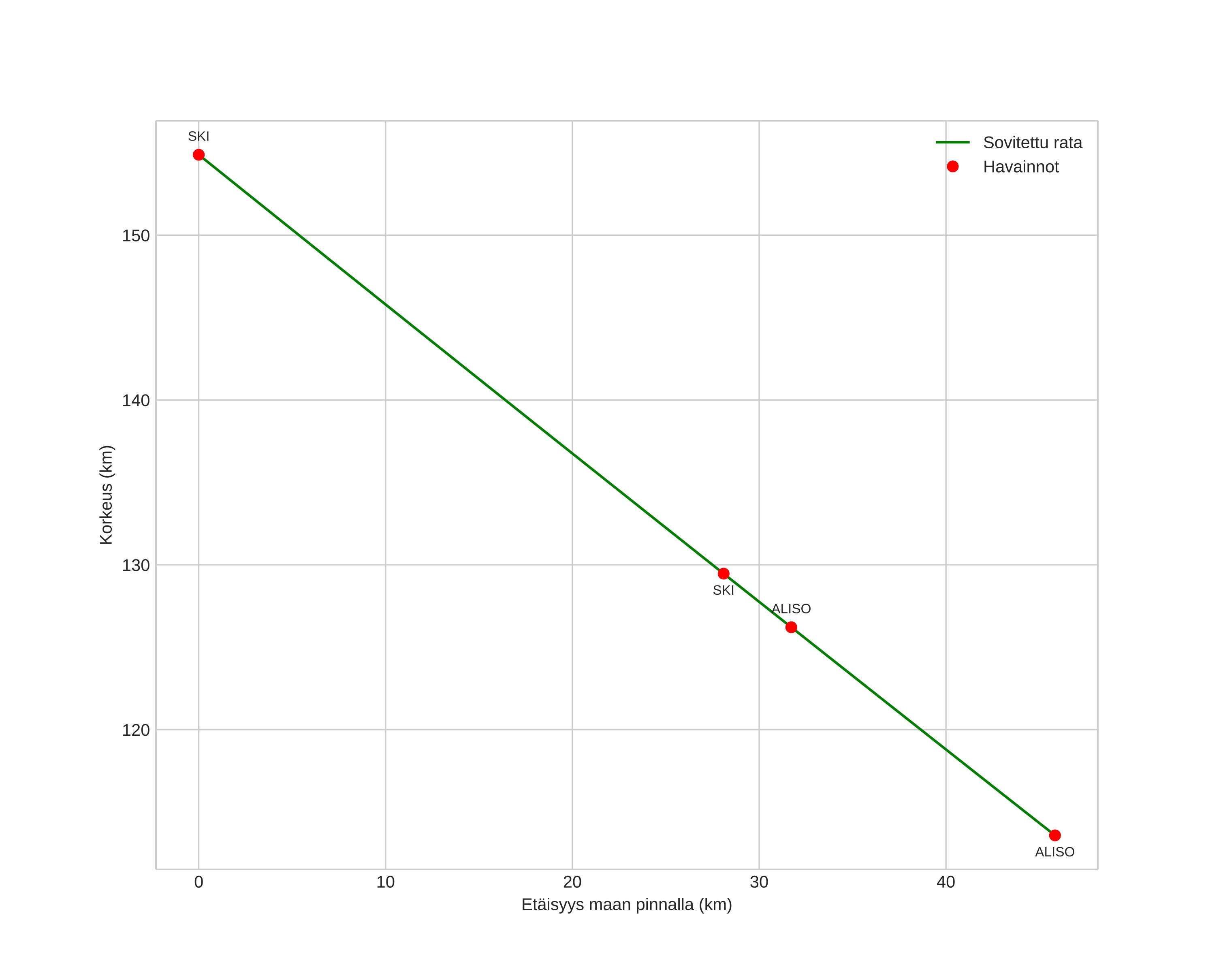
height profile
Meteorin ilmakehärata:
Alkukorkeus: 152,4 km
Loppukorkeus: 113,3 km
Alkupiste: 68,206N 22,821E
Loppupiste: 68,278N 21,792E
Suunta: 281,1°
Kallistuskulma: 42,2°
Tulonopeus: 88,9 km/s
Radiantin R,A,: 17:03 (255,9°)
Radiantin Dekl,: 34,6°
Meteoriparvi: Sporadinen
Meteoroidin rataelementit:
Perihelietäisyys: 0,880 AU
Eksentrisyys: 6,052
Inklinaatio: 89,8°
Nousevan solmun pituus: 30,7°
Perihelin argumentti: 211,2°
Keskianomalia: -145,9°
Epookki: 2021 APR 20 21:27:51
orbit plot

Ei-interaktiivinen kuvaaja | Interaktiivinen kuvaaja

position vs time
speed and acceleration

Skibotn (SKI) cam2


gnomonic
Videot:
• Gnomoninen
• Gnomoninen koordinaateilla
• Alkuperäinen
• Alkuperäinen koordinaateilla
Kuvat:
• Gnomoninen
• Gnomoninen koordinaateilla
• Gnomoninen merkinnöillä
• Alkuperäinen
• Alkuperäinen koordinaateilla
• Alkuperäinen maskilla
Tekstitiedostot:
• Havaintoraportti
• Observaatio
• Koordinaatit
• Virheilmoitukset
• Loki
Kirkkaus