🇳🇴 🇬🇧 🇩🇪 🇨🇿 🇫🇮

Meteor, poloha: Sande 2021-04-20 23:19:07 UTC

Soubor KML  |  InteraktivnĂ­ mapa

Mapa zobrazuje dráhy meteoru. Světlejší čáry ukazují směry od pozorovacích stanic při objevení se meteoru a tmavší čáry, kde byl naposledy viděn. Modrá šipka značí viditelnou dráhu meteoru.

static map
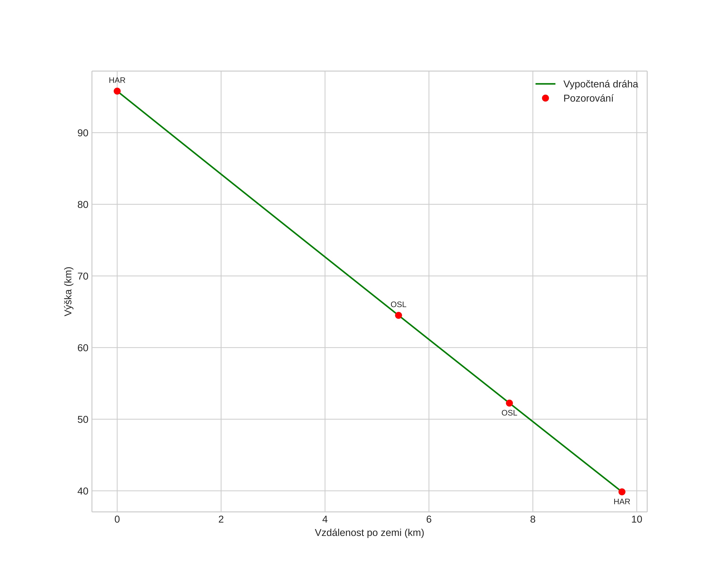
height profile
Atmosférická dráha meteoru:
Počáteční výška: 77,7 km
Konečná výška: 47,3 km
Počáteční poloha: 59,531N 10,097E
Konečná poloha: 59,600N 10,154E
Směr: 22,5°
Sklon: 74,5°
VstupnĂ­ rychlost: 15,8 km/s
Rektascenze radiantu: 13:13 (198,3°)
Deklinace radiantu: 42,2°
MeteorickĂ˝ roj: sporadickĂ˝
Elementy dráhy meteoroidu:
Vzdálenost v periheliu: 0,959 AU
Excentricita: 0,465
Sklon dráhy: 13,1°
Délka vzestupného uzlu: 30,8°
Argument perihelia: 211,1°
Střední anomálie: 349,6°
Epocha: 2021 APR 20 23:19:07
orbit plot

NeinteraktivnĂ­ graf | InteraktivnĂ­ graf

position vs time
speed and acceleration