🇳🇴 🇬🇧 🇩🇪 🇨🇿 🇫🇮

Meteor Sanden yllä 2021-04-20 23:19:07 UTC

KML-tiedosto  |  Interaktiivinen kartta

Kartta näyttää meteorin suuntahavainnot. Vaaleammat viivat näyttävät suunnat havaintoasemilta meteorin ilmestyessä, ja tummemmat viivat näyttävät, missä se viimeksi nähtiin. Sininen nuoli näyttää meteorin näkyvän lennon.

static map
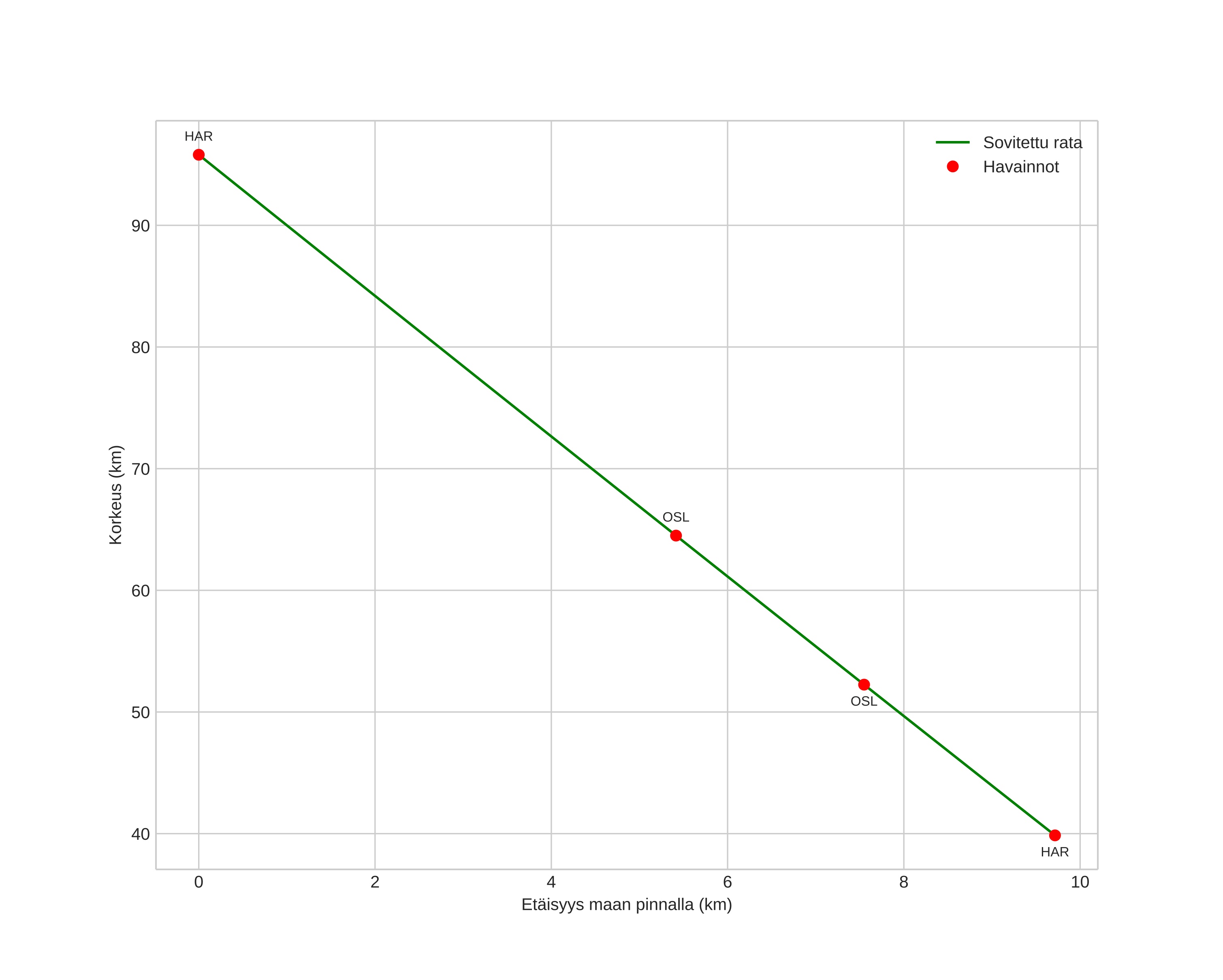
height profile
Meteorin ilmakehärata:
Alkukorkeus: 77,7 km
Loppukorkeus: 47,3 km
Alkupiste: 59,531N 10,097E
Loppupiste: 59,600N 10,154E
Suunta: 22,5°
Kallistuskulma: 74,5°
Tulonopeus: 15,8 km/s
Radiantin R,A,: 13:13 (198,3°)
Radiantin Dekl,: 42,2°
Meteoriparvi: Sporadinen
Meteoroidin rataelementit:
Perihelietäisyys: 0,959 AU
Eksentrisyys: 0,465
Inklinaatio: 13,1°
Nousevan solmun pituus: 30,8°
Perihelin argumentti: 211,1°
Keskianomalia: 349,6°
Epookki: 2021 APR 20 23:19:07
orbit plot

Ei-interaktiivinen kuvaaja | Interaktiivinen kuvaaja

position vs time
speed and acceleration