🇳🇴 🇬🇧 🇩🇪 🇨🇿 🇫🇮

Meteor, poloha: Langesund 2021-04-21 21:02:42 UTC

Soubor KML  |  InteraktivnĂ­ mapa

Mapa zobrazuje dráhy meteoru. Světlejší čáry ukazují směry od pozorovacích stanic při objevení se meteoru a tmavší čáry, kde byl naposledy viděn. Modrá šipka značí viditelnou dráhu meteoru.

static map
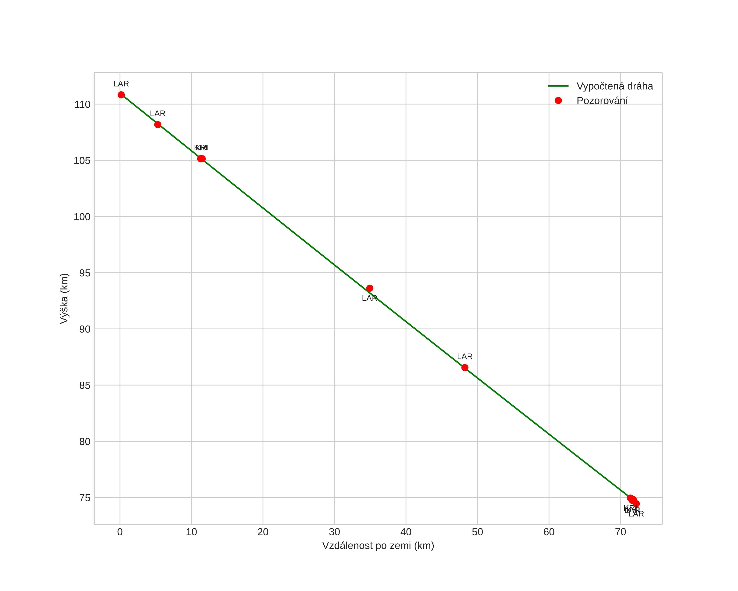
height profile
Atmosférická dráha meteoru:
Počáteční výška: 110,8 km
Konečná výška: 67,7 km
Počáteční poloha: 58,590N 11,173E
Konečná poloha: 58,311N 9,840E
Směr: 248,8°
Sklon: 27,3°
VstupnĂ­ rychlost: 47,2 km/s
Rektascenze radiantu: 17:59 (269,8°)
Deklinace radiantu: 33,3°
MeteorickĂ˝ roj: Lyridy
Elementy dráhy meteoroidu:
Vzdálenost v periheliu: 0,904 AU
Excentricita: 0,925
Sklon dráhy: 77,6°
Délka vzestupného uzlu: 31,7°
Argument perihelia: 217,8°
Střední anomálie: 359,4°
Epocha: 2021 APR 21 21:02:42
orbit plot

NeinteraktivnĂ­ graf | InteraktivnĂ­ graf

position vs time
speed and acceleration