🇳🇴 🇬🇧 🇩🇪 🇨🇿 🇫🇮

Meteor Langesundin yllä 2021-04-21 21:02:42 UTC

KML-tiedosto  |  Interaktiivinen kartta

Kartta näyttää meteorin suuntahavainnot. Vaaleammat viivat näyttävät suunnat havaintoasemilta meteorin ilmestyessä, ja tummemmat viivat näyttävät, missä se viimeksi nähtiin. Sininen nuoli näyttää meteorin näkyvän lennon.

static map
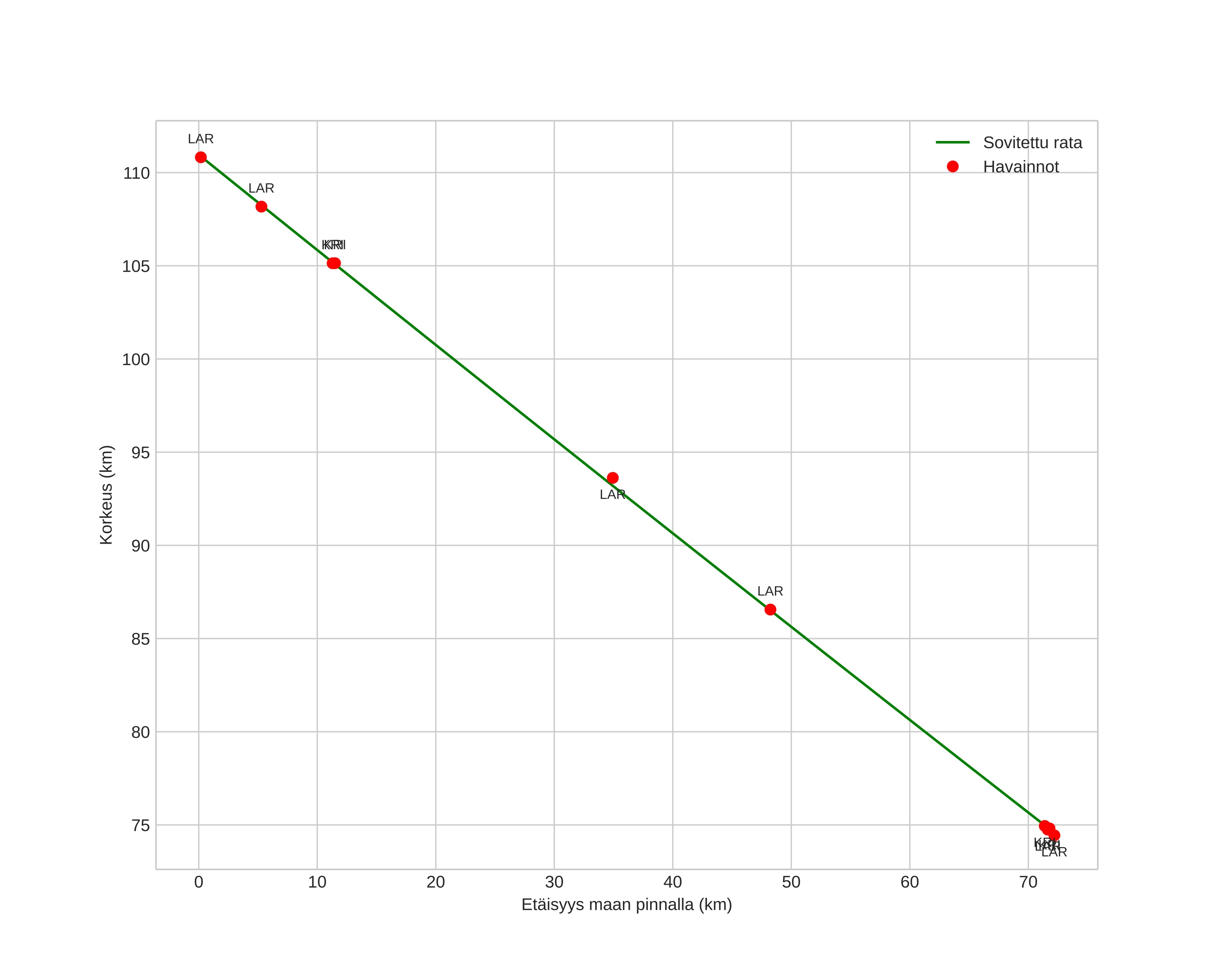
height profile
Meteorin ilmakehärata:
Alkukorkeus: 110,8 km
Loppukorkeus: 67,7 km
Alkupiste: 58,590N 11,173E
Loppupiste: 58,311N 9,840E
Suunta: 248,8°
Kallistuskulma: 27,3°
Tulonopeus: 47,2 km/s
Radiantin R,A,: 17:59 (269,8°)
Radiantin Dekl,: 33,3°
Meteoriparvi: Lyridit
Meteoroidin rataelementit:
Perihelietäisyys: 0,904 AU
Eksentrisyys: 0,925
Inklinaatio: 77,6°
Nousevan solmun pituus: 31,7°
Perihelin argumentti: 217,8°
Keskianomalia: 359,4°
Epookki: 2021 APR 21 21:02:42
orbit plot

Ei-interaktiivinen kuvaaja | Interaktiivinen kuvaaja

position vs time
speed and acceleration