🇳🇴 🇬🇧 🇩🇪 🇨🇿 🇫🇮

Meteor, poloha: Uddevalla 2021-04-21 22:02:06 UTC

Soubor KML  |  InteraktivnĂ­ mapa

Mapa zobrazuje dráhy meteoru. Světlejší čáry ukazují směry od pozorovacích stanic při objevení se meteoru a tmavší čáry, kde byl naposledy viděn. Modrá šipka značí viditelnou dráhu meteoru.

static map
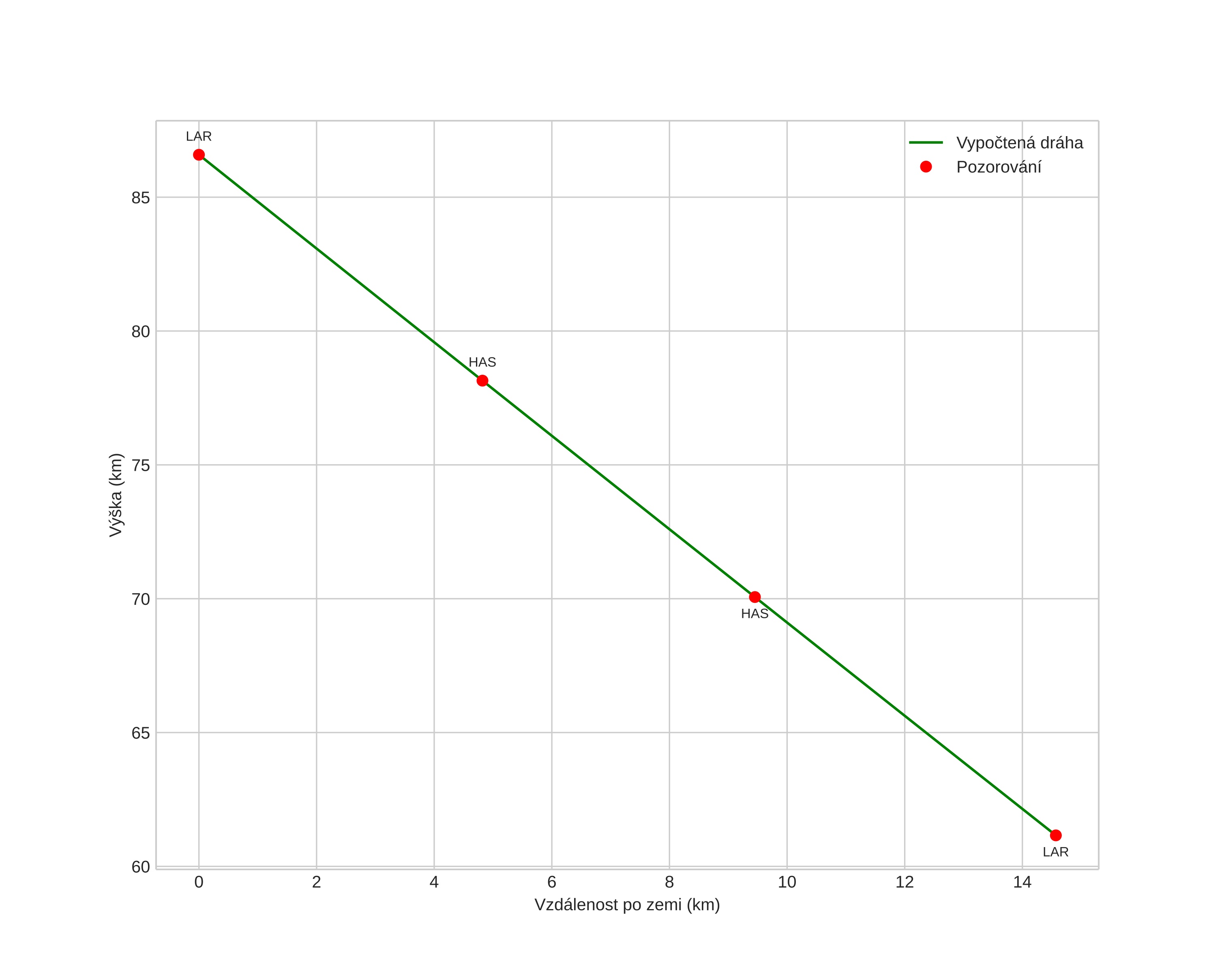
height profile
Atmosférická dráha meteoru:
Počáteční výška: 86,9 km
Konečná výška: 61,5 km
Počáteční poloha: 58,400N 12,365E
Konečná poloha: 58,399N 12,117E
Směr: 269,5°
Sklon: 60,4°
VstupnĂ­ rychlost: 30,0 km/s
Rektascenze radiantu: 16:04 (241,1°)
Deklinace radiantu: 47,5°
MeteorickĂ˝ roj: sporadickĂ˝
Elementy dráhy meteoroidu:
Vzdálenost v periheliu: 0,920 AU
Excentricita: 0,797
Sklon dráhy: 41,6°
Délka vzestupného uzlu: 31,7°
Argument perihelia: 216,1°
Střední anomálie: 357,4°
Epocha: 2021 APR 21 22:02:06
orbit plot

NeinteraktivnĂ­ graf | InteraktivnĂ­ graf

position vs time
speed and acceleration