🇳🇴 🇬🇧 🇩🇪 🇨🇿 🇫🇮

Meteor Uddevallan yllä 2021-04-21 22:02:06 UTC

KML-tiedosto  |  Interaktiivinen kartta

Kartta näyttää meteorin suuntahavainnot. Vaaleammat viivat näyttävät suunnat havaintoasemilta meteorin ilmestyessä, ja tummemmat viivat näyttävät, missä se viimeksi nähtiin. Sininen nuoli näyttää meteorin näkyvän lennon.

static map
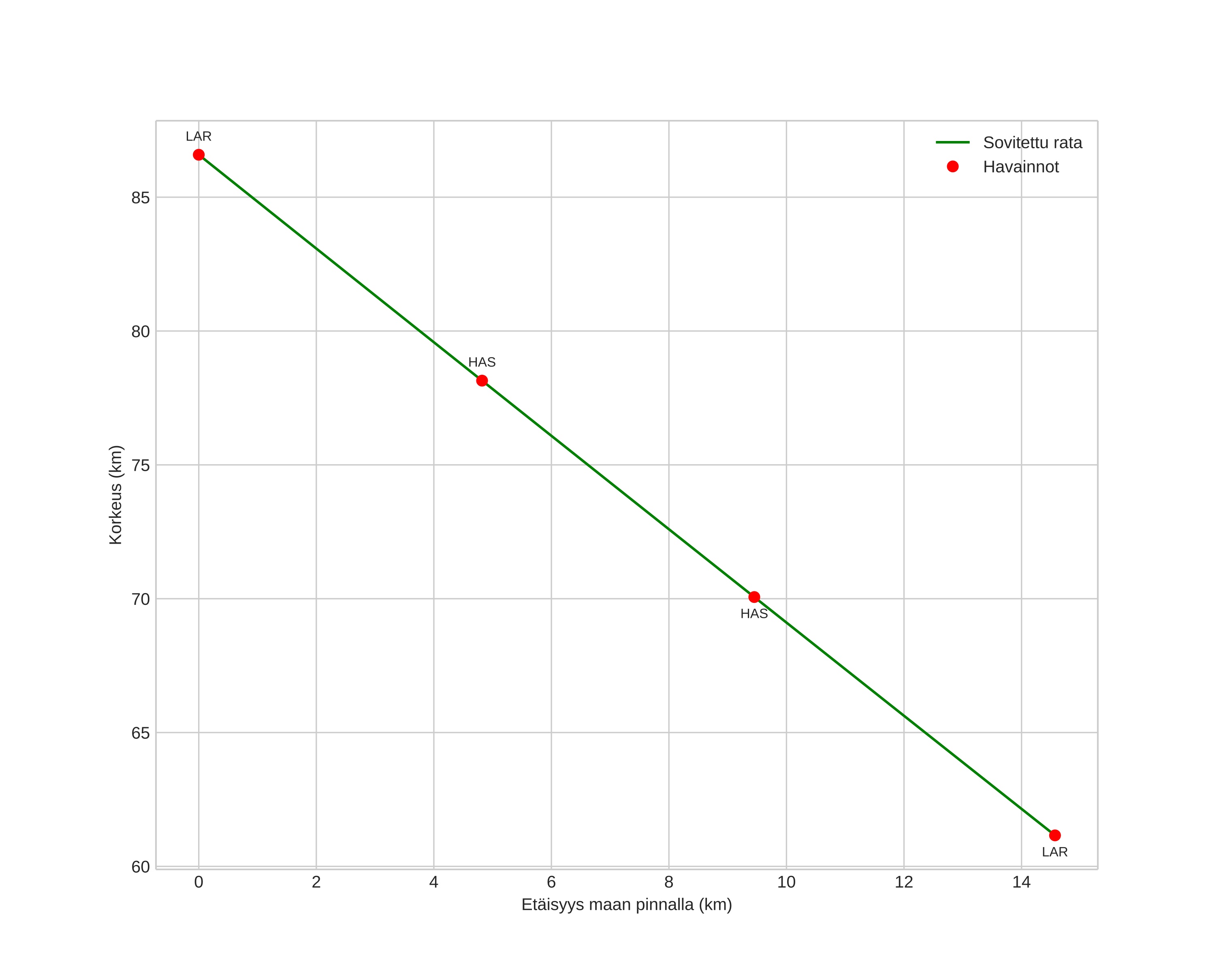
height profile
Meteorin ilmakehärata:
Alkukorkeus: 86,9 km
Loppukorkeus: 61,5 km
Alkupiste: 58,400N 12,365E
Loppupiste: 58,399N 12,117E
Suunta: 269,5°
Kallistuskulma: 60,4°
Tulonopeus: 30,0 km/s
Radiantin R,A,: 16:04 (241,1°)
Radiantin Dekl,: 47,5°
Meteoriparvi: Sporadinen
Meteoroidin rataelementit:
Perihelietäisyys: 0,920 AU
Eksentrisyys: 0,797
Inklinaatio: 41,6°
Nousevan solmun pituus: 31,7°
Perihelin argumentti: 216,1°
Keskianomalia: 357,4°
Epookki: 2021 APR 21 22:02:06
orbit plot

Ei-interaktiivinen kuvaaja | Interaktiivinen kuvaaja

position vs time
speed and acceleration