🇳🇴 🇬🇧 🇩🇪 🇨🇿 🇫🇮

Meteor, poloha: Løkken 2021-04-21 22:45:12 UTC

Soubor KML  |  InteraktivnĂ­ mapa

Mapa zobrazuje dráhy meteoru. Světlejší čáry ukazují směry od pozorovacích stanic při objevení se meteoru a tmavší čáry, kde byl naposledy viděn. Modrá šipka značí viditelnou dráhu meteoru.

static map
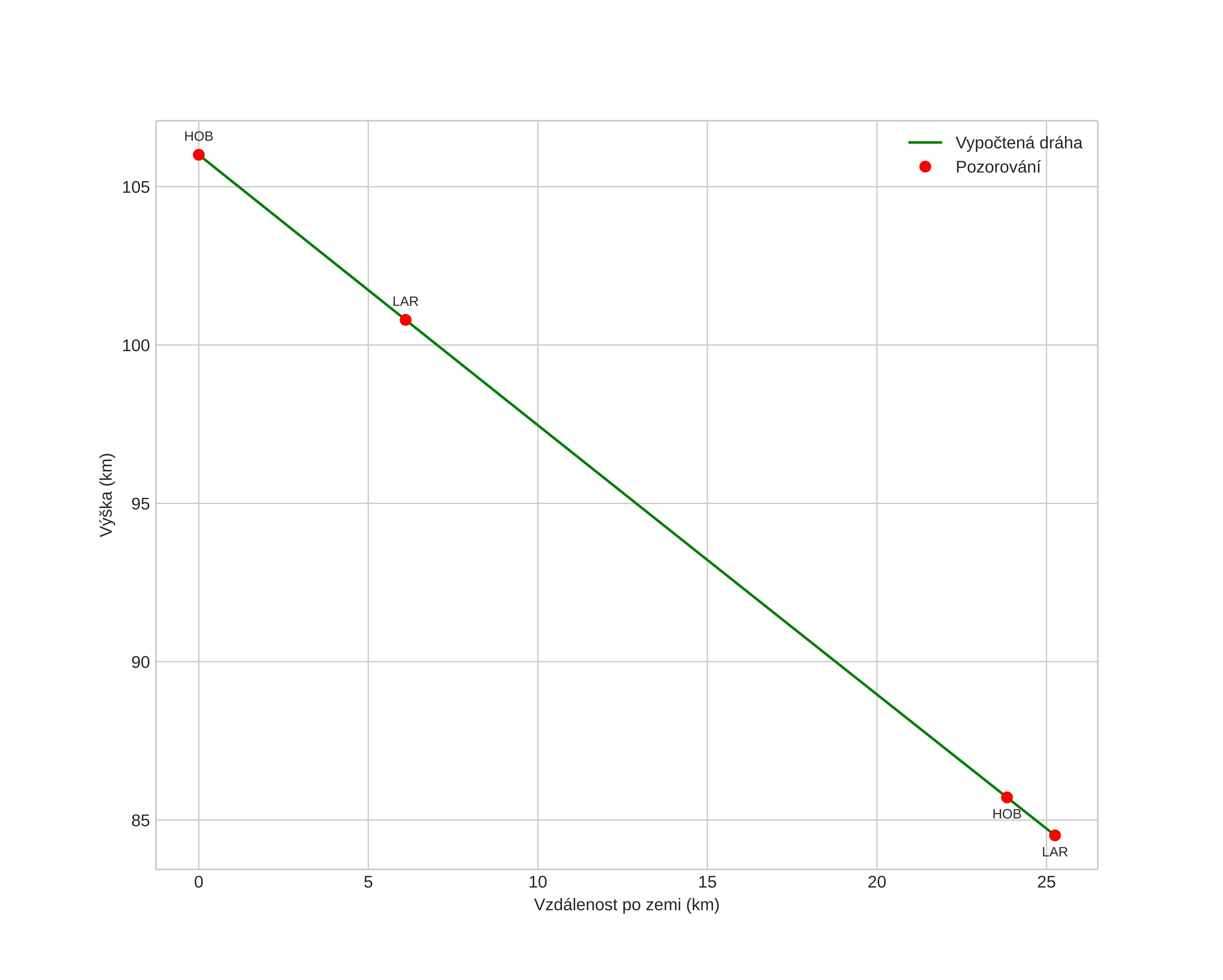
height profile
Atmosférická dráha meteoru:
Počáteční výška: 105,8 km
Konečná výška: 85,9 km
Počáteční poloha: 57,368N 10,021E
Konečná poloha: 57,356N 9,625E
Směr: 267,0°
Sklon: 39,9°
VstupnĂ­ rychlost: 56,8 km/s
Rektascenze radiantu: 17:57 (269,3°)
Deklinace radiantu: 33,8°
MeteorickĂ˝ roj: Lyridy
Elementy dráhy meteoroidu:
Vzdálenost v periheliu: 0,923 AU
Excentricita: 1,712
Sklon dráhy: 84,6°
Délka vzestupného uzlu: 31,8°
Argument perihelia: 209,4°
Střední anomálie: -11,4°
Epocha: 2021 APR 21 22:45:12
orbit plot

NeinteraktivnĂ­ graf | InteraktivnĂ­ graf

position vs time
speed and acceleration