🇳🇴 🇬🇧 🇩🇪 🇨🇿 🇫🇮

Meteor Løkkenin yllä 2021-04-21 22:45:12 UTC

KML-tiedosto  |  Interaktiivinen kartta

Kartta näyttää meteorin suuntahavainnot. Vaaleammat viivat näyttävät suunnat havaintoasemilta meteorin ilmestyessä, ja tummemmat viivat näyttävät, missä se viimeksi nähtiin. Sininen nuoli näyttää meteorin näkyvän lennon.

static map
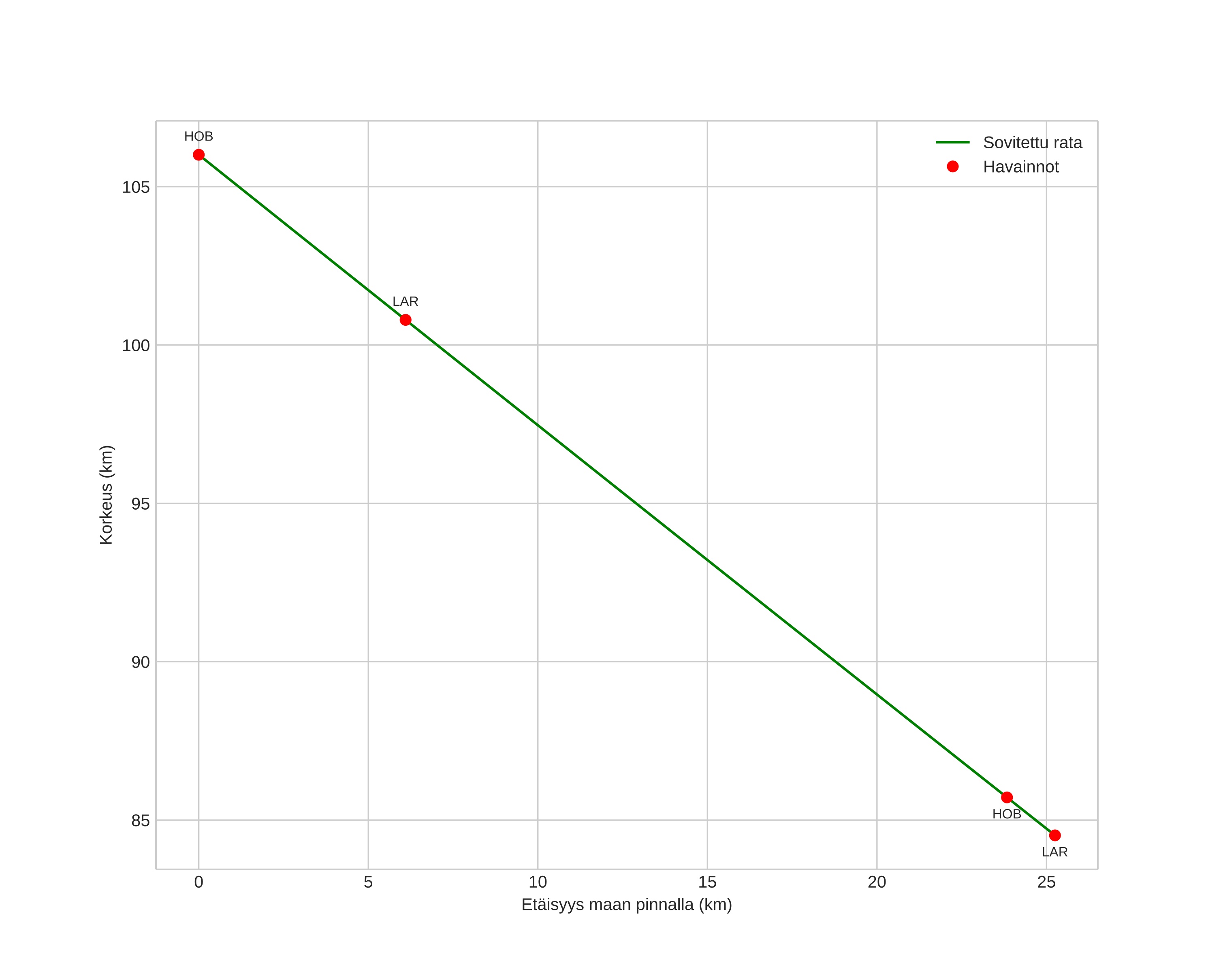
height profile
Meteorin ilmakehärata:
Alkukorkeus: 105,8 km
Loppukorkeus: 85,9 km
Alkupiste: 57,368N 10,021E
Loppupiste: 57,356N 9,625E
Suunta: 267,0°
Kallistuskulma: 39,9°
Tulonopeus: 56,8 km/s
Radiantin R,A,: 17:57 (269,3°)
Radiantin Dekl,: 33,8°
Meteoriparvi: Lyridit
Meteoroidin rataelementit:
Perihelietäisyys: 0,923 AU
Eksentrisyys: 1,712
Inklinaatio: 84,6°
Nousevan solmun pituus: 31,8°
Perihelin argumentti: 209,4°
Keskianomalia: -11,4°
Epookki: 2021 APR 21 22:45:12
orbit plot

Ei-interaktiivinen kuvaaja | Interaktiivinen kuvaaja

position vs time
speed and acceleration