🇳🇴 🇬🇧 🇩🇪 🇨🇿 🇫🇮

Meteor, poloha: Stange 2021-04-22 22:37:35 UTC

Soubor KML  |  InteraktivnĂ­ mapa

Mapa zobrazuje dráhy meteoru. Světlejší čáry ukazují směry od pozorovacích stanic při objevení se meteoru a tmavší čáry, kde byl naposledy viděn. Modrá šipka značí viditelnou dráhu meteoru.

static map
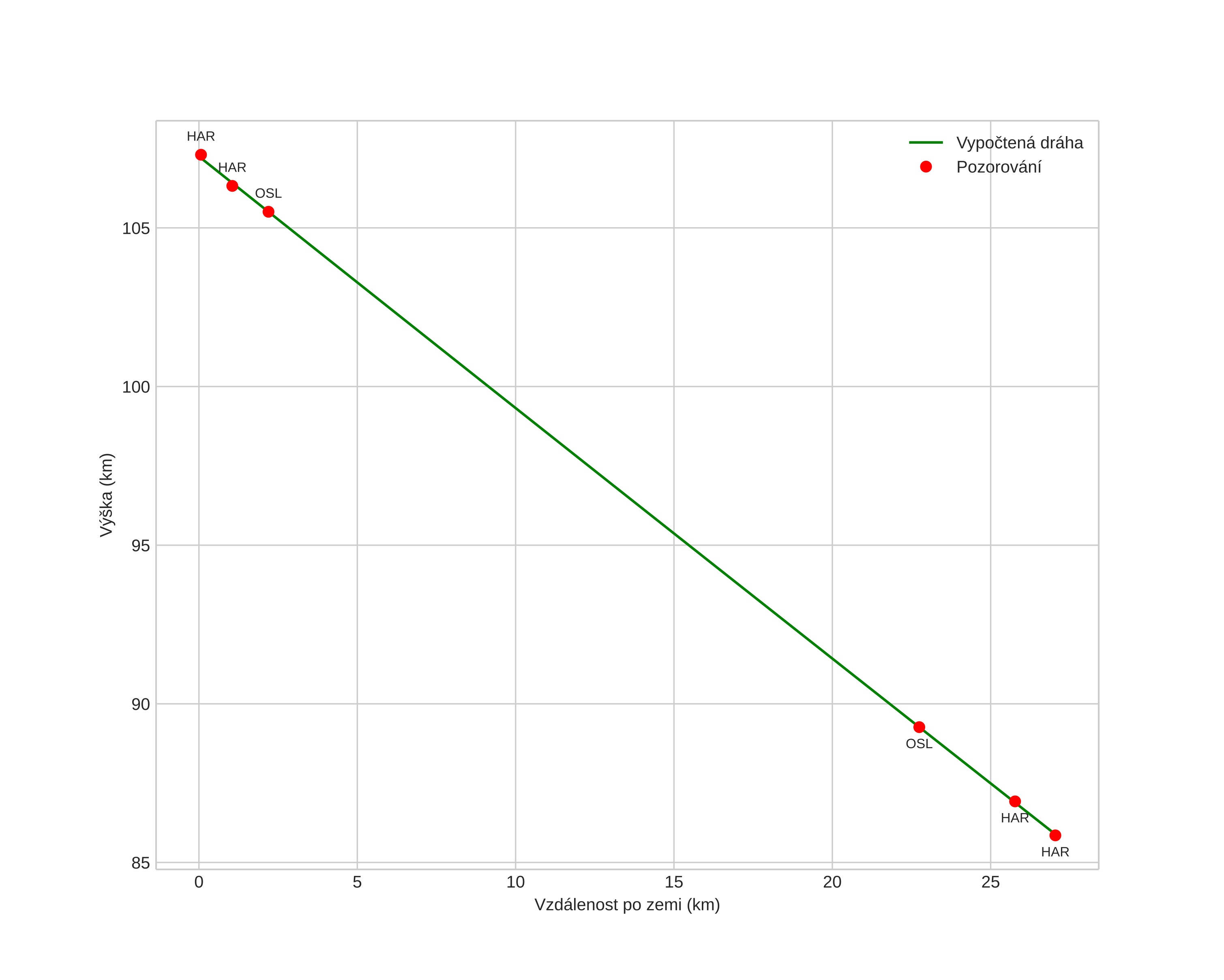
height profile
Atmosférická dráha meteoru:
Počáteční výška: 98,9 km
Konečná výška: 78,1 km
Počáteční poloha: 60,753N 11,651E
Konečná poloha: 60,759N 11,179E
Směr: 271,6°
Sklon: 39,0°
VstupnĂ­ rychlost: 42,9 km/s
Rektascenze radiantu: 17:58 (269,6°)
Deklinace radiantu: 31,9°
MeteorickĂ˝ roj: Lyridy
Elementy dráhy meteoroidu:
Vzdálenost v periheliu: 0,864 AU
Excentricita: 0,651
Sklon dráhy: 73,5°
Délka vzestupného uzlu: 32,7°
Argument perihelia: 229,9°
Střední anomálie: 351,1°
Epocha: 2021 APR 22 22:37:35
orbit plot

NeinteraktivnĂ­ graf | InteraktivnĂ­ graf

position vs time
speed and acceleration