🇳🇴 🇬🇧 🇩🇪 🇨🇿 🇫🇮

Meteor Stangen yllä 2021-04-22 22:37:35 UTC

KML-tiedosto  |  Interaktiivinen kartta

Kartta näyttää meteorin suuntahavainnot. Vaaleammat viivat näyttävät suunnat havaintoasemilta meteorin ilmestyessä, ja tummemmat viivat näyttävät, missä se viimeksi nähtiin. Sininen nuoli näyttää meteorin näkyvän lennon.

static map
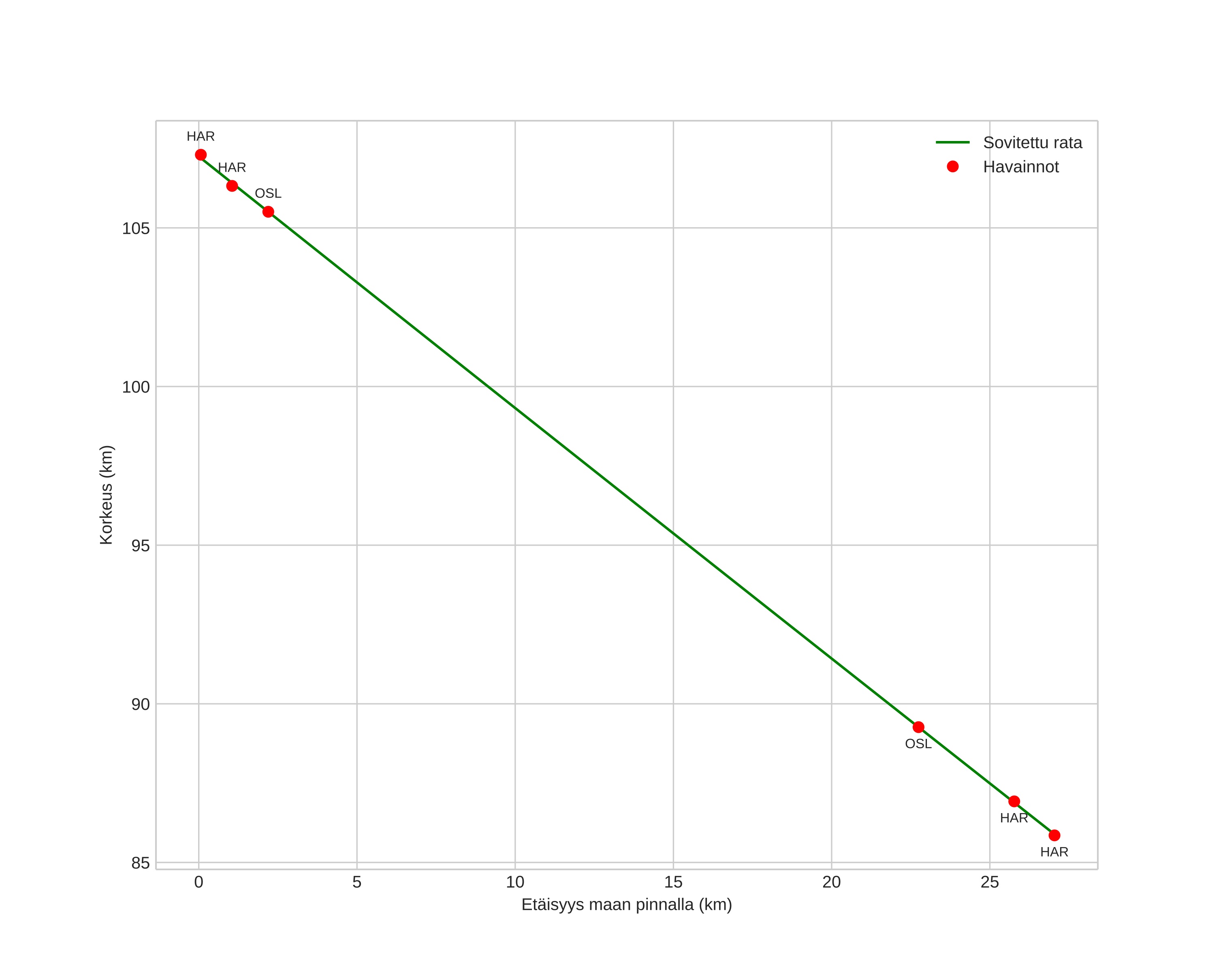
height profile
Meteorin ilmakehärata:
Alkukorkeus: 98,9 km
Loppukorkeus: 78,1 km
Alkupiste: 60,753N 11,651E
Loppupiste: 60,759N 11,179E
Suunta: 271,6°
Kallistuskulma: 39,0°
Tulonopeus: 42,9 km/s
Radiantin R,A,: 17:58 (269,6°)
Radiantin Dekl,: 31,9°
Meteoriparvi: Lyridit
Meteoroidin rataelementit:
Perihelietäisyys: 0,864 AU
Eksentrisyys: 0,651
Inklinaatio: 73,5°
Nousevan solmun pituus: 32,7°
Perihelin argumentti: 229,9°
Keskianomalia: 351,1°
Epookki: 2021 APR 22 22:37:35
orbit plot

Ei-interaktiivinen kuvaaja | Interaktiivinen kuvaaja

position vs time
speed and acceleration