🇳🇴 🇬🇧 🇩🇪 🇨🇿 🇫🇮

Meteor, poloha: Nynäshamn 2021-04-22 23:51:20 UTC

Soubor KML  |  InteraktivnĂ­ mapa

Mapa zobrazuje dráhy meteoru. Světlejší čáry ukazují směry od pozorovacích stanic při objevení se meteoru a tmavší čáry, kde byl naposledy viděn. Modrá šipka značí viditelnou dráhu meteoru.

static map
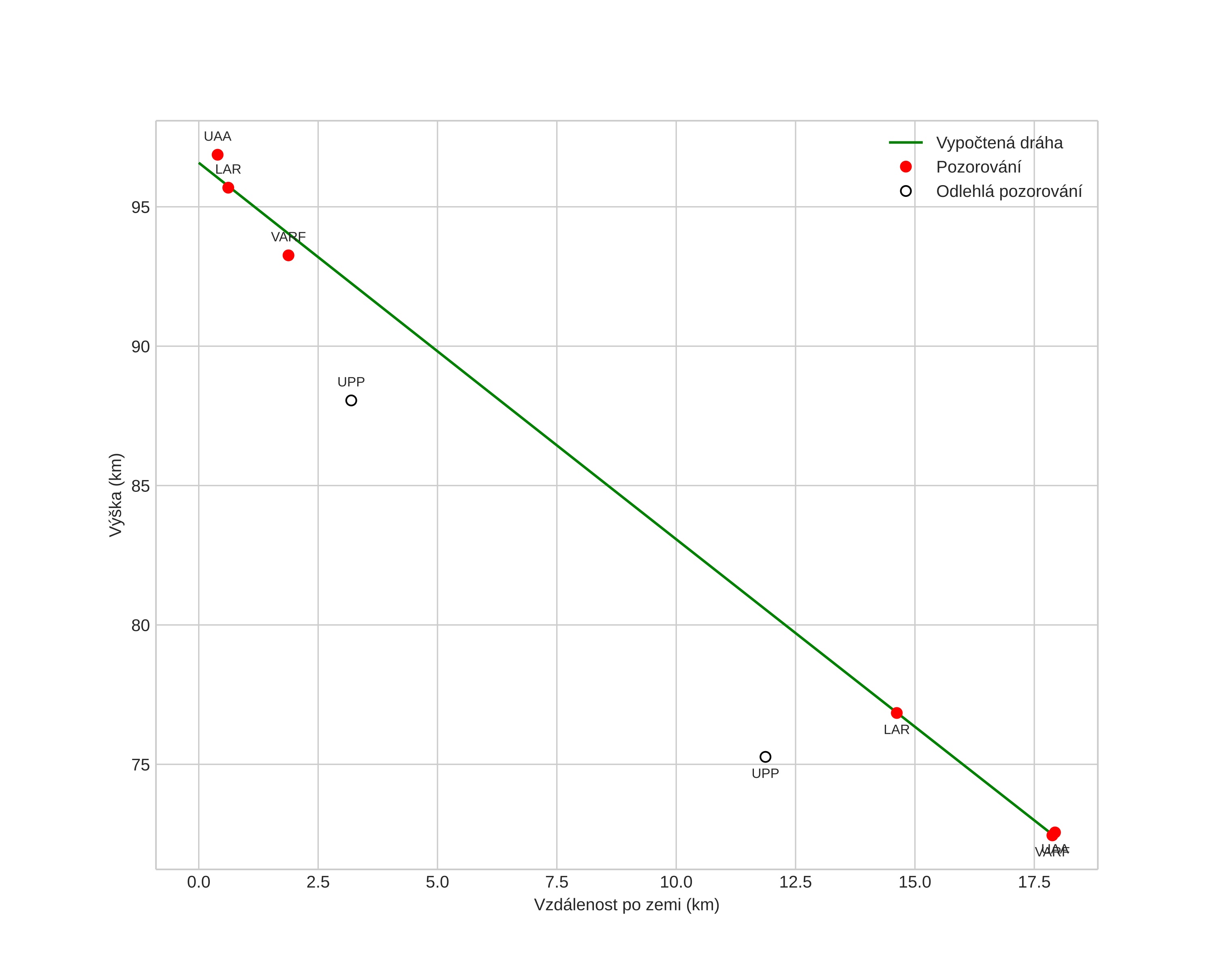
height profile
Atmosférická dráha meteoru:
Počáteční výška: 102,6 km
Konečná výška: 72,7 km
Počáteční poloha: 58,504N 18,239E
Konečná poloha: 58,574N 17,889E
Směr: 291,3°
Sklon: 53,9°
VstupnĂ­ rychlost: 42,2 km/s
Rektascenze radiantu: 17:57 (269,4°)
Deklinace radiantu: 34,7°
MeteorickĂ˝ roj: Lyridy
Elementy dráhy meteoroidu:
Vzdálenost v periheliu: 0,895 AU
Excentricita: 0,693
Sklon dráhy: 71,2°
Délka vzestupného uzlu: 32,8°
Argument perihelia: 223,0°
Střední anomálie: 353,9°
Epocha: 2021 APR 22 23:51:20
orbit plot

NeinteraktivnĂ­ graf | InteraktivnĂ­ graf

position vs time
speed and acceleration