🇳🇴 🇬🇧 🇩🇪 🇨🇿 🇫🇮

Meteor Nynäshamnin yllä 2021-04-22 23:51:20 UTC

KML-tiedosto  |  Interaktiivinen kartta

Kartta näyttää meteorin suuntahavainnot. Vaaleammat viivat näyttävät suunnat havaintoasemilta meteorin ilmestyessä, ja tummemmat viivat näyttävät, missä se viimeksi nähtiin. Sininen nuoli näyttää meteorin näkyvän lennon.

static map
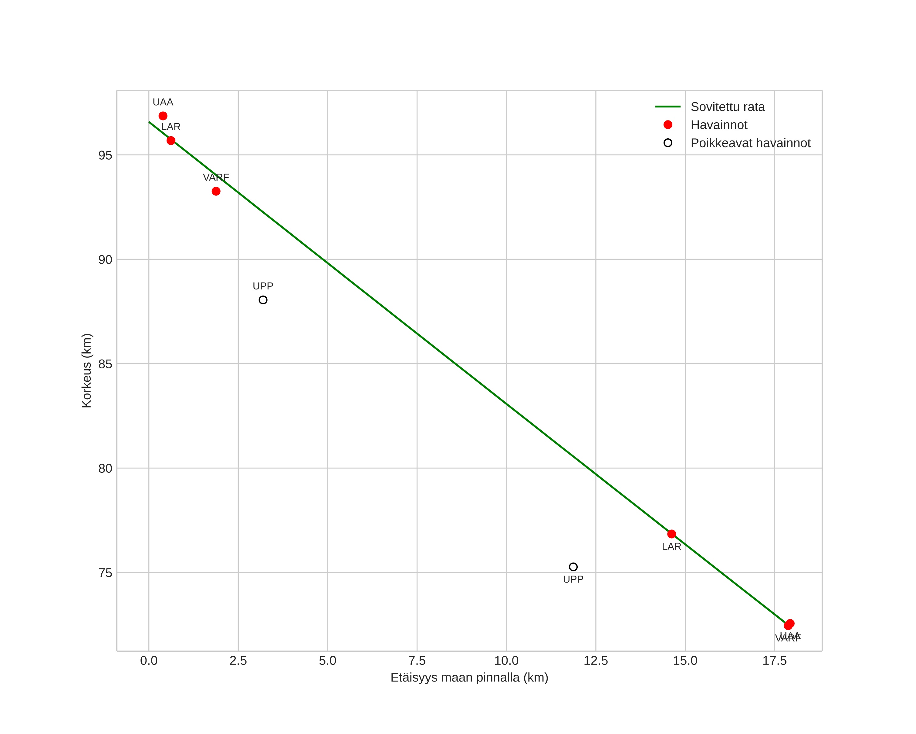
height profile
Meteorin ilmakehärata:
Alkukorkeus: 102,6 km
Loppukorkeus: 72,7 km
Alkupiste: 58,504N 18,239E
Loppupiste: 58,574N 17,889E
Suunta: 291,3°
Kallistuskulma: 53,9°
Tulonopeus: 42,2 km/s
Radiantin R,A,: 17:57 (269,4°)
Radiantin Dekl,: 34,7°
Meteoriparvi: Lyridit
Meteoroidin rataelementit:
Perihelietäisyys: 0,895 AU
Eksentrisyys: 0,693
Inklinaatio: 71,2°
Nousevan solmun pituus: 32,8°
Perihelin argumentti: 223,0°
Keskianomalia: 353,9°
Epookki: 2021 APR 22 23:51:20
orbit plot

Ei-interaktiivinen kuvaaja | Interaktiivinen kuvaaja

position vs time
speed and acceleration