🇳🇴 🇬🇧 🇩🇪 🇨🇿 🇫🇮

Meteor, poloha: Smögen 2021-04-22 23:59:52 UTC

Soubor KML  |  InteraktivnĂ­ mapa

Mapa zobrazuje dráhy meteoru. Světlejší čáry ukazují směry od pozorovacích stanic při objevení se meteoru a tmavší čáry, kde byl naposledy viděn. Modrá šipka značí viditelnou dráhu meteoru.

static map
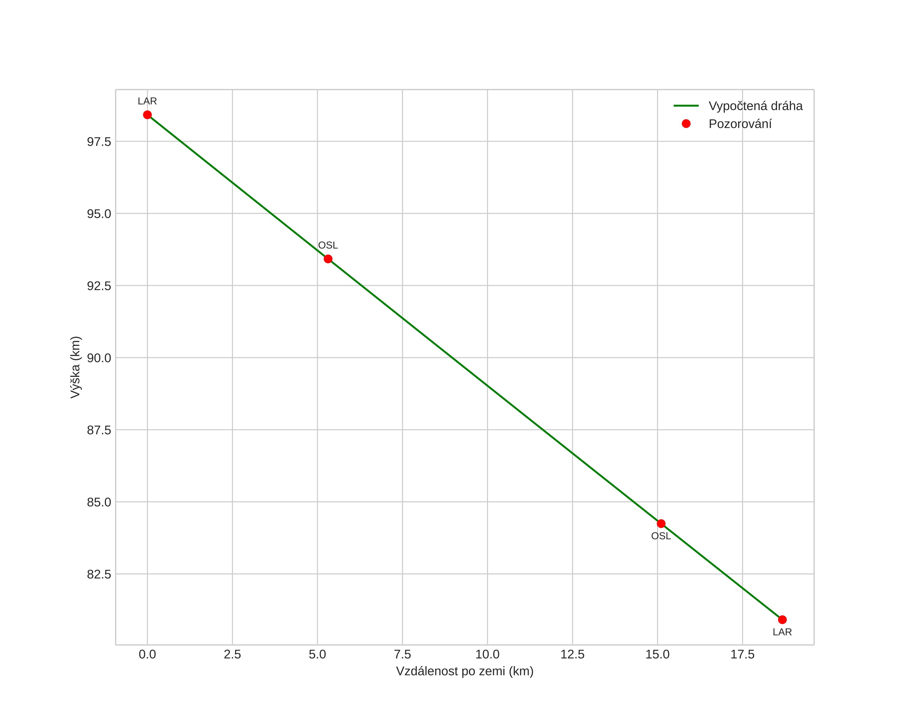
height profile
Atmosférická dráha meteoru:
Počáteční výška: 99,0 km
Konečná výška: 81,6 km
Počáteční poloha: 58,098N 10,950E
Konečná poloha: 58,263N 10,989E
Směr: 7,2°
Sklon: 43,2°
VstupnĂ­ rychlost: 27,9 km/s
Rektascenze radiantu: 14:23 (215,8°)
Deklinace radiantu: 9,4°
MeteorickĂ˝ roj: sporadickĂ˝
Elementy dráhy meteoroidu:
Vzdálenost v periheliu: 0,633 AU
Excentricita: 0,867
Sklon dráhy: 17,6°
Délka vzestupného uzlu: 32,8°
Argument perihelia: 258,3°
Střední anomálie: 356,1°
Epocha: 2021 APR 22 23:59:52
orbit plot

NeinteraktivnĂ­ graf | InteraktivnĂ­ graf

position vs time
speed and acceleration