🇳🇴 🇬🇧 🇩🇪 🇨🇿 🇫🇮

Meteor Smögenin yllä 2021-04-22 23:59:52 UTC

KML-tiedosto  |  Interaktiivinen kartta

Kartta näyttää meteorin suuntahavainnot. Vaaleammat viivat näyttävät suunnat havaintoasemilta meteorin ilmestyessä, ja tummemmat viivat näyttävät, missä se viimeksi nähtiin. Sininen nuoli näyttää meteorin näkyvän lennon.

static map
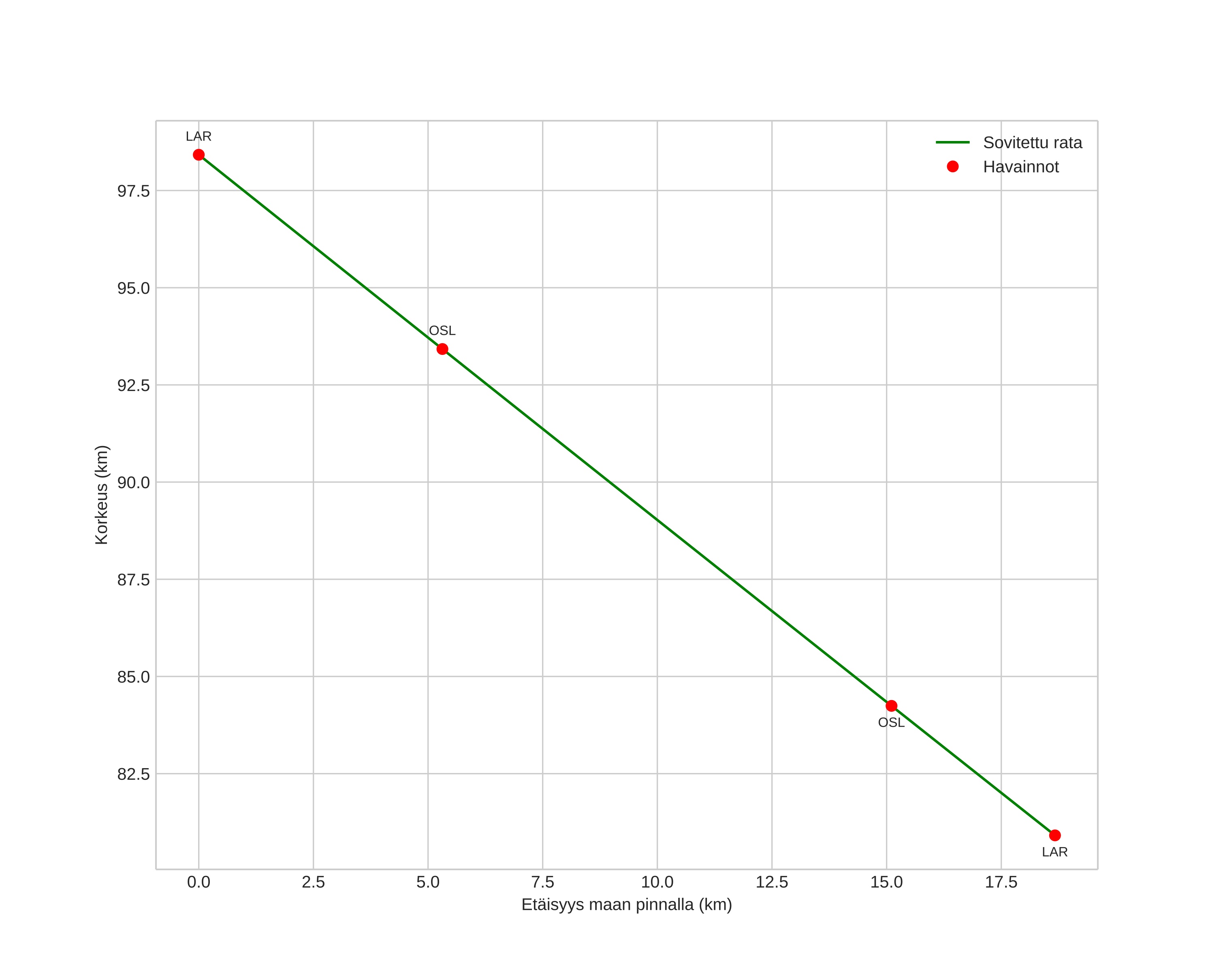
height profile
Meteorin ilmakehärata:
Alkukorkeus: 99,0 km
Loppukorkeus: 81,6 km
Alkupiste: 58,098N 10,950E
Loppupiste: 58,263N 10,989E
Suunta: 7,2°
Kallistuskulma: 43,2°
Tulonopeus: 27,9 km/s
Radiantin R,A,: 14:23 (215,8°)
Radiantin Dekl,: 9,4°
Meteoriparvi: Sporadinen
Meteoroidin rataelementit:
Perihelietäisyys: 0,633 AU
Eksentrisyys: 0,867
Inklinaatio: 17,6°
Nousevan solmun pituus: 32,8°
Perihelin argumentti: 258,3°
Keskianomalia: 356,1°
Epookki: 2021 APR 22 23:59:52
orbit plot

Ei-interaktiivinen kuvaaja | Interaktiivinen kuvaaja

position vs time
speed and acceleration