🇳🇴 🇬🇧 🇩🇪 🇨🇿 🇫🇮

Meteor, poloha: Auli 2021-04-23 00:17:01 UTC

Soubor KML  |  InteraktivnĂ­ mapa

Mapa zobrazuje dráhy meteoru. Světlejší čáry ukazují směry od pozorovacích stanic při objevení se meteoru a tmavší čáry, kde byl naposledy viděn. Modrá šipka značí viditelnou dráhu meteoru.

static map
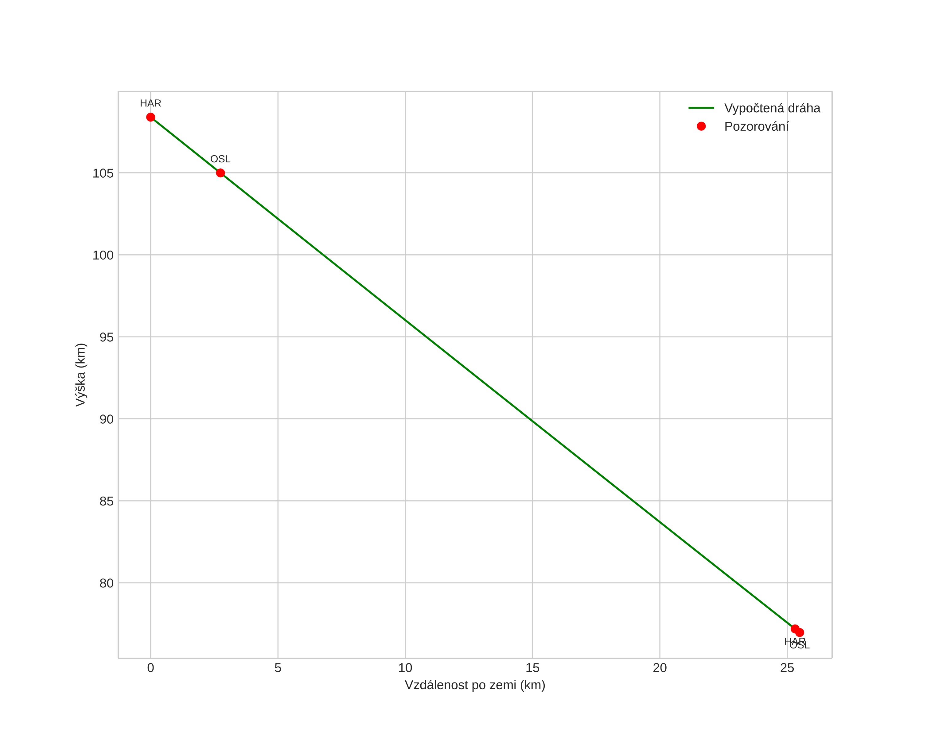
height profile
Atmosférická dráha meteoru:
Počáteční výška: 107,7 km
Konečná výška: 76,9 km
Počáteční poloha: 59,911N 11,829E
Konečná poloha: 59,989N 11,409E
Směr: 290,7°
Sklon: 50,9°
VstupnĂ­ rychlost: 50,9 km/s
Rektascenze radiantu: 18:10 (272,5°)
Deklinace radiantu: 33,7°
MeteorickĂ˝ roj: Lyridy
Elementy dráhy meteoroidu:
Vzdálenost v periheliu: 0,928 AU
Excentricita: 1,165
Sklon dráhy: 81,7°
Délka vzestupného uzlu: 32,8°
Argument perihelia: 210,9°
Střední anomálie: -1,5°
Epocha: 2021 APR 23 00:17:01
orbit plot

NeinteraktivnĂ­ graf | InteraktivnĂ­ graf

position vs time
speed and acceleration