🇳🇴 🇬🇧 🇩🇪 🇨🇿 🇫🇮

Meteor Aulin yllä 2021-04-23 00:17:01 UTC

KML-tiedosto  |  Interaktiivinen kartta

Kartta näyttää meteorin suuntahavainnot. Vaaleammat viivat näyttävät suunnat havaintoasemilta meteorin ilmestyessä, ja tummemmat viivat näyttävät, missä se viimeksi nähtiin. Sininen nuoli näyttää meteorin näkyvän lennon.

static map
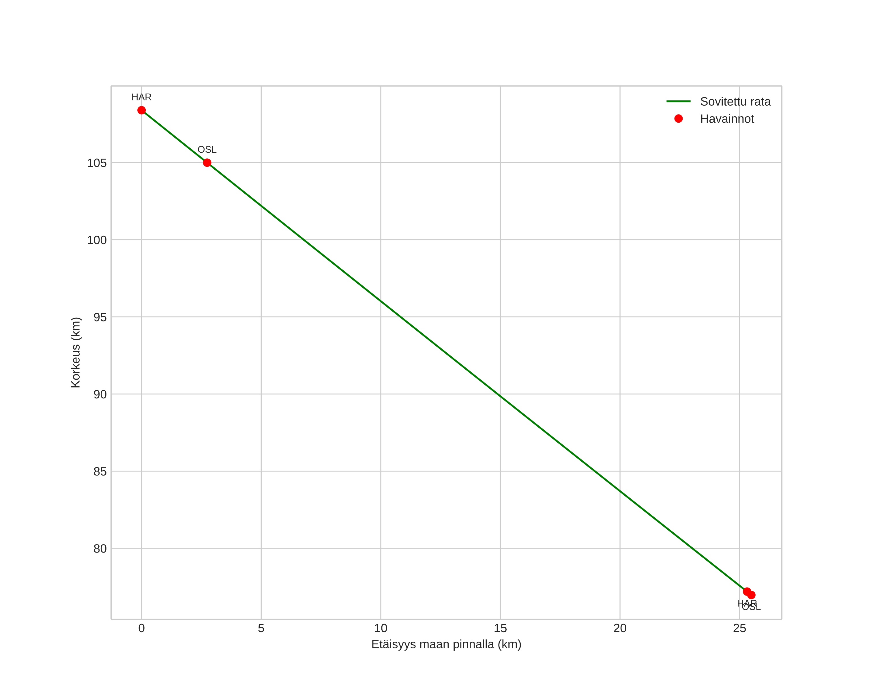
height profile
Meteorin ilmakehärata:
Alkukorkeus: 107,7 km
Loppukorkeus: 76,9 km
Alkupiste: 59,911N 11,829E
Loppupiste: 59,989N 11,409E
Suunta: 290,7°
Kallistuskulma: 50,9°
Tulonopeus: 50,9 km/s
Radiantin R,A,: 18:10 (272,5°)
Radiantin Dekl,: 33,7°
Meteoriparvi: Lyridit
Meteoroidin rataelementit:
Perihelietäisyys: 0,928 AU
Eksentrisyys: 1,165
Inklinaatio: 81,7°
Nousevan solmun pituus: 32,8°
Perihelin argumentti: 210,9°
Keskianomalia: -1,5°
Epookki: 2021 APR 23 00:17:01
orbit plot

Ei-interaktiivinen kuvaaja | Interaktiivinen kuvaaja

position vs time
speed and acceleration