🇳🇴 🇬🇧 🇩🇪 🇨🇿 🇫🇮

Meteor, poloha: Jessheim 2021-05-07 00:31:15 UTC

Soubor KML  |  InteraktivnĂ­ mapa

Mapa zobrazuje dráhy meteoru. Světlejší čáry ukazují směry od pozorovacích stanic při objevení se meteoru a tmavší čáry, kde byl naposledy viděn. Modrá šipka značí viditelnou dráhu meteoru.

static map
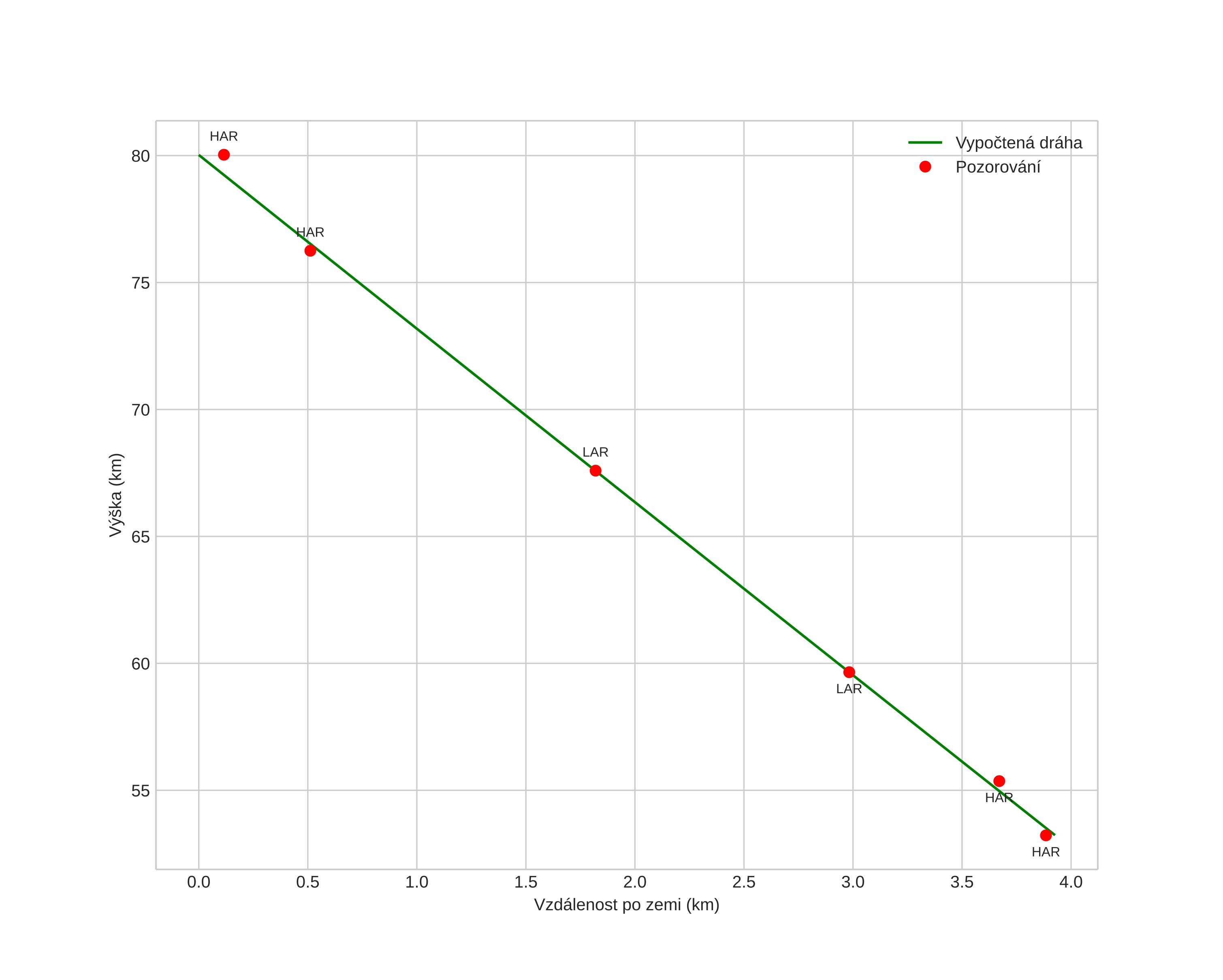
height profile
Atmosférická dráha meteoru:
Počáteční výška: 79,0 km
Konečná výška: 53,7 km
Počáteční poloha: 60,128N 11,097E
Konečná poloha: 60,133N 11,181E
Směr: 83,8°
Sklon: 79,5°
VstupnĂ­ rychlost: 18,7 km/s
Rektascenze radiantu: 14:43 (220,9°)
Deklinace radiantu: 56,7°
MeteorickĂ˝ roj: sporadickĂ˝
Elementy dráhy meteoroidu:
Vzdálenost v periheliu: 0,994 AU
Excentricita: 0,557
Sklon dráhy: 21,9°
Délka vzestupného uzlu: 46,4°
Argument perihelia: 196,8°
Střední anomálie: 356,0°
Epocha: 2021 MAY 07 00:31:15
orbit plot

NeinteraktivnĂ­ graf | InteraktivnĂ­ graf

position vs time
speed and acceleration