🇳🇴 🇬🇧 🇩🇪 🇨🇿 🇫🇮

Meteor Jessheimin yllä 2021-05-07 00:31:15 UTC

KML-tiedosto  |  Interaktiivinen kartta

Kartta näyttää meteorin suuntahavainnot. Vaaleammat viivat näyttävät suunnat havaintoasemilta meteorin ilmestyessä, ja tummemmat viivat näyttävät, missä se viimeksi nähtiin. Sininen nuoli näyttää meteorin näkyvän lennon.

static map
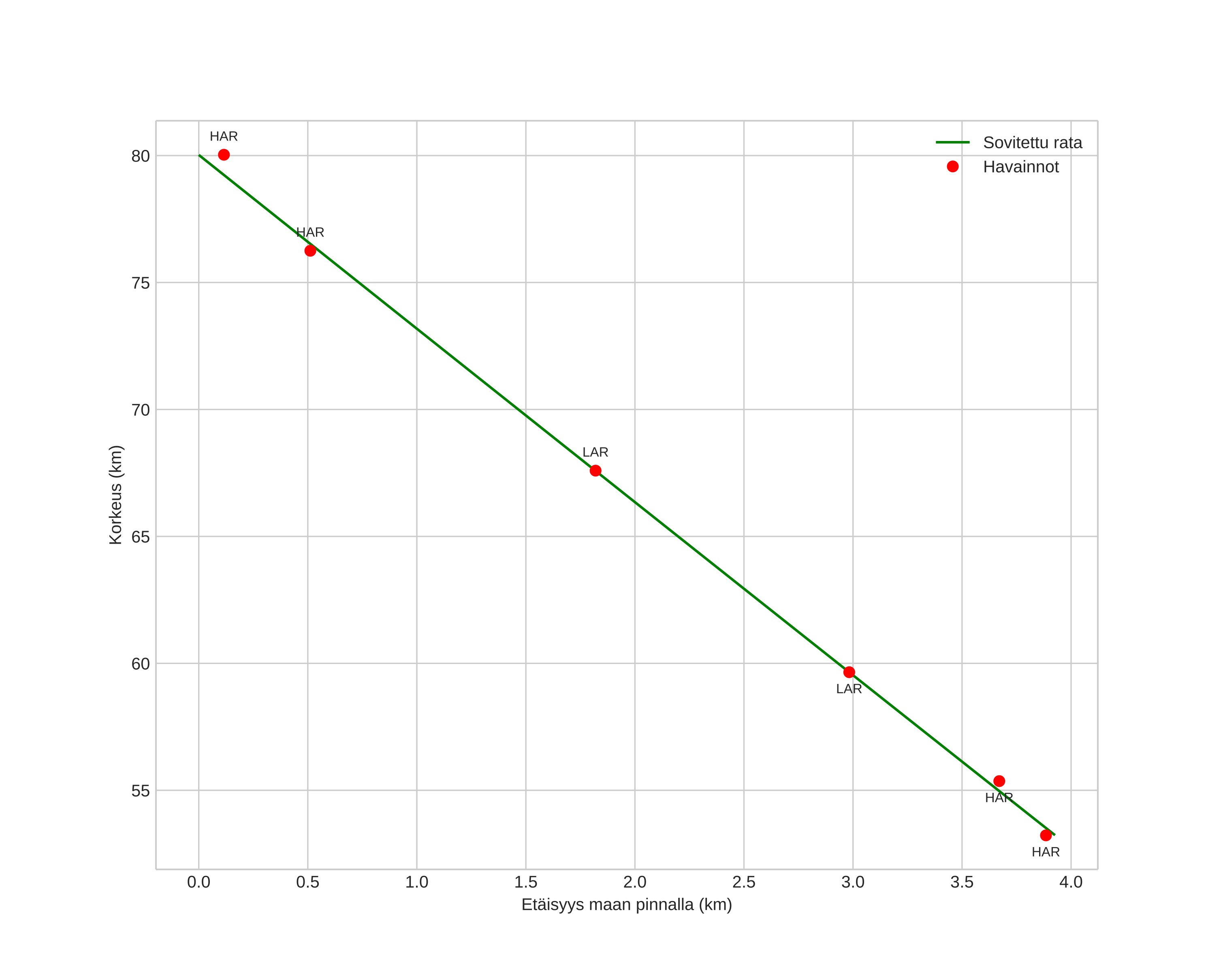
height profile
Meteorin ilmakehärata:
Alkukorkeus: 79,0 km
Loppukorkeus: 53,7 km
Alkupiste: 60,128N 11,097E
Loppupiste: 60,133N 11,181E
Suunta: 83,8°
Kallistuskulma: 79,5°
Tulonopeus: 18,7 km/s
Radiantin R,A,: 14:43 (220,9°)
Radiantin Dekl,: 56,7°
Meteoriparvi: Sporadinen
Meteoroidin rataelementit:
Perihelietäisyys: 0,994 AU
Eksentrisyys: 0,557
Inklinaatio: 21,9°
Nousevan solmun pituus: 46,4°
Perihelin argumentti: 196,8°
Keskianomalia: 356,0°
Epookki: 2021 MAY 07 00:31:15
orbit plot

Ei-interaktiivinen kuvaaja | Interaktiivinen kuvaaja

position vs time
speed and acceleration