🇳🇴 🇬🇧 🇩🇪 🇨🇿 🇫🇮

Meteor, poloha: Filipstad 2021-05-07 21:56:10 UTC

Soubor KML  |  InteraktivnĂ­ mapa

Mapa zobrazuje dráhy meteoru. Světlejší čáry ukazují směry od pozorovacích stanic při objevení se meteoru a tmavší čáry, kde byl naposledy viděn. Modrá šipka značí viditelnou dráhu meteoru.

static map
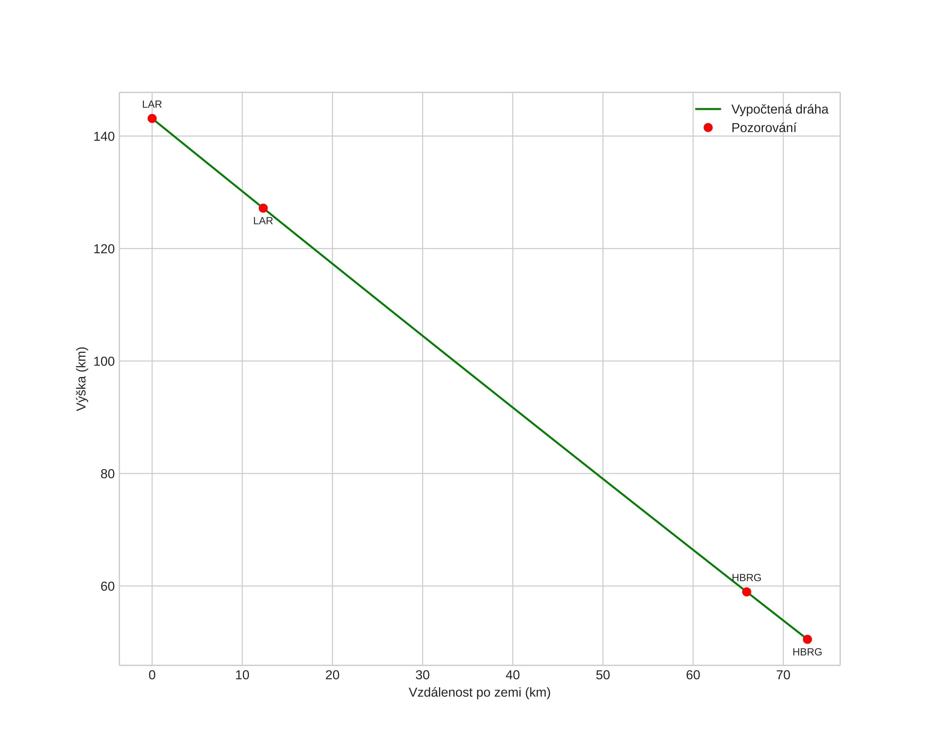
height profile
Atmosférická dráha meteoru:
Počáteční výška: 142,6 km
Konečná výška: 52,6 km
Počáteční poloha: 60,226N 15,407E
Konečná poloha: 60,011N 14,171E
Směr: 251,3°
Sklon: 51,1°
VstupnĂ­ rychlost: 40,8 km/s
Rektascenze radiantu: 18:44 (281,1°)
Deklinace radiantu: 50,5°
Meteorický roj: Éta Lyridy
Elementy dráhy meteoroidu:
Vzdálenost v periheliu: 1,000 AU
Excentricita: 1,018
Sklon dráhy: 63,2°
Délka vzestupného uzlu: 47,3°
Argument perihelia: 190,7°
Střední anomálie: -0,0°
Epocha: 2021 MAY 07 21:56:10
orbit plot

NeinteraktivnĂ­ graf | InteraktivnĂ­ graf

position vs time
speed and acceleration