🇳🇴 🇬🇧 🇩🇪 🇨🇿 🇫🇮

Meteor Filipstadin yllä 2021-05-07 21:56:10 UTC

KML-tiedosto  |  Interaktiivinen kartta

Kartta näyttää meteorin suuntahavainnot. Vaaleammat viivat näyttävät suunnat havaintoasemilta meteorin ilmestyessä, ja tummemmat viivat näyttävät, missä se viimeksi nähtiin. Sininen nuoli näyttää meteorin näkyvän lennon.

static map
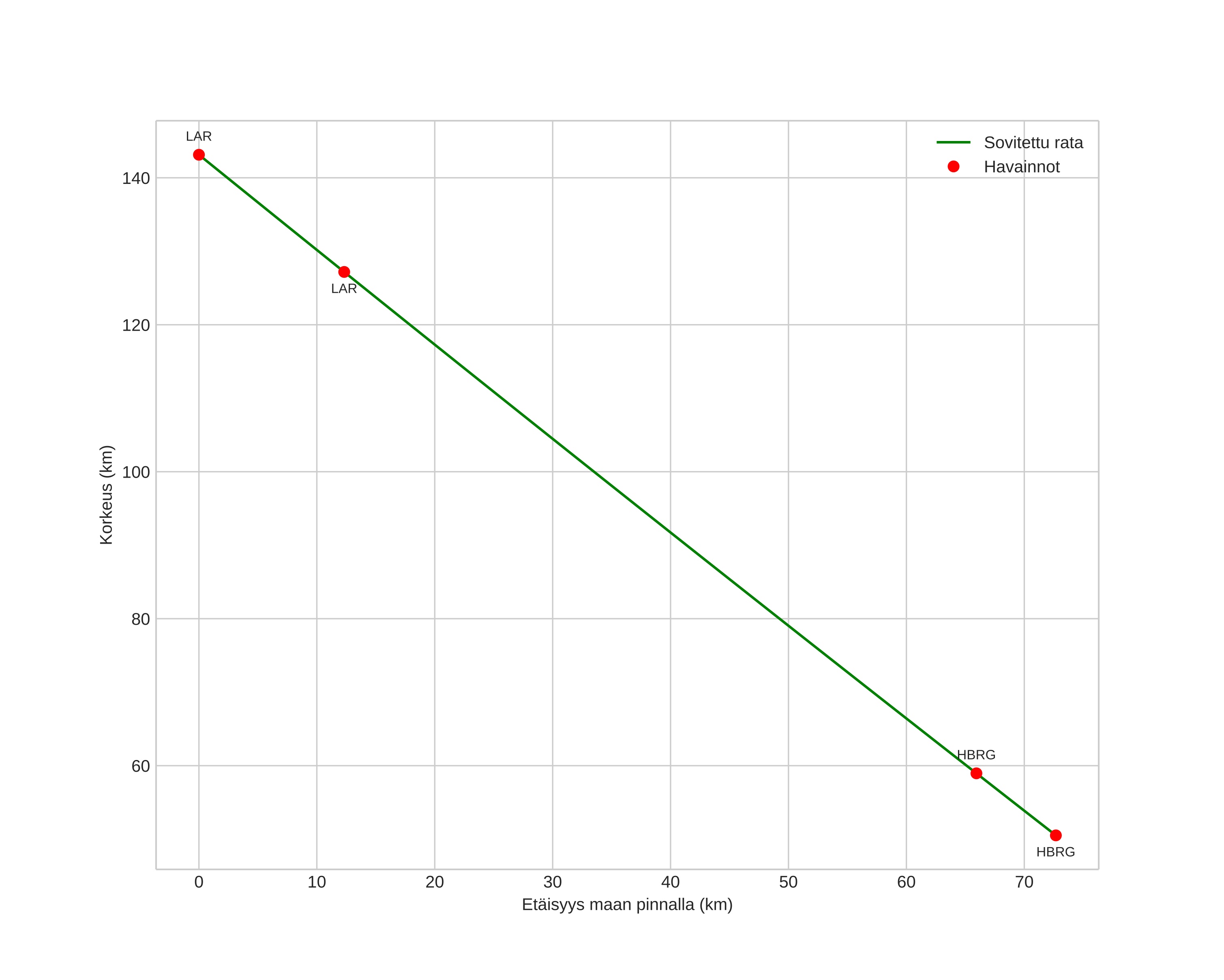
height profile
Meteorin ilmakehärata:
Alkukorkeus: 142,6 km
Loppukorkeus: 52,6 km
Alkupiste: 60,226N 15,407E
Loppupiste: 60,011N 14,171E
Suunta: 251,3°
Kallistuskulma: 51,1°
Tulonopeus: 40,8 km/s
Radiantin R,A,: 18:44 (281,1°)
Radiantin Dekl,: 50,5°
Meteoriparvi: Eta-lyridit
Meteoroidin rataelementit:
Perihelietäisyys: 1,000 AU
Eksentrisyys: 1,018
Inklinaatio: 63,2°
Nousevan solmun pituus: 47,3°
Perihelin argumentti: 190,7°
Keskianomalia: -0,0°
Epookki: 2021 MAY 07 21:56:10
orbit plot

Ei-interaktiivinen kuvaaja | Interaktiivinen kuvaaja

position vs time
speed and acceleration