🇳🇴 🇬🇧 🇩🇪 🇨🇿 🇫🇮

Meteor, poloha: Eskilstuna 2021-05-21 23:18:49 UTC

Soubor KML  |  Interaktivní mapa

Mapa zobrazuje dráhy meteoru. Světlejší čáry ukazují směry od pozorovacích stanic při objevení se meteoru a tmavší čáry, kde byl naposledy viděn. Modrá šipka značí viditelnou dráhu meteoru.

static map
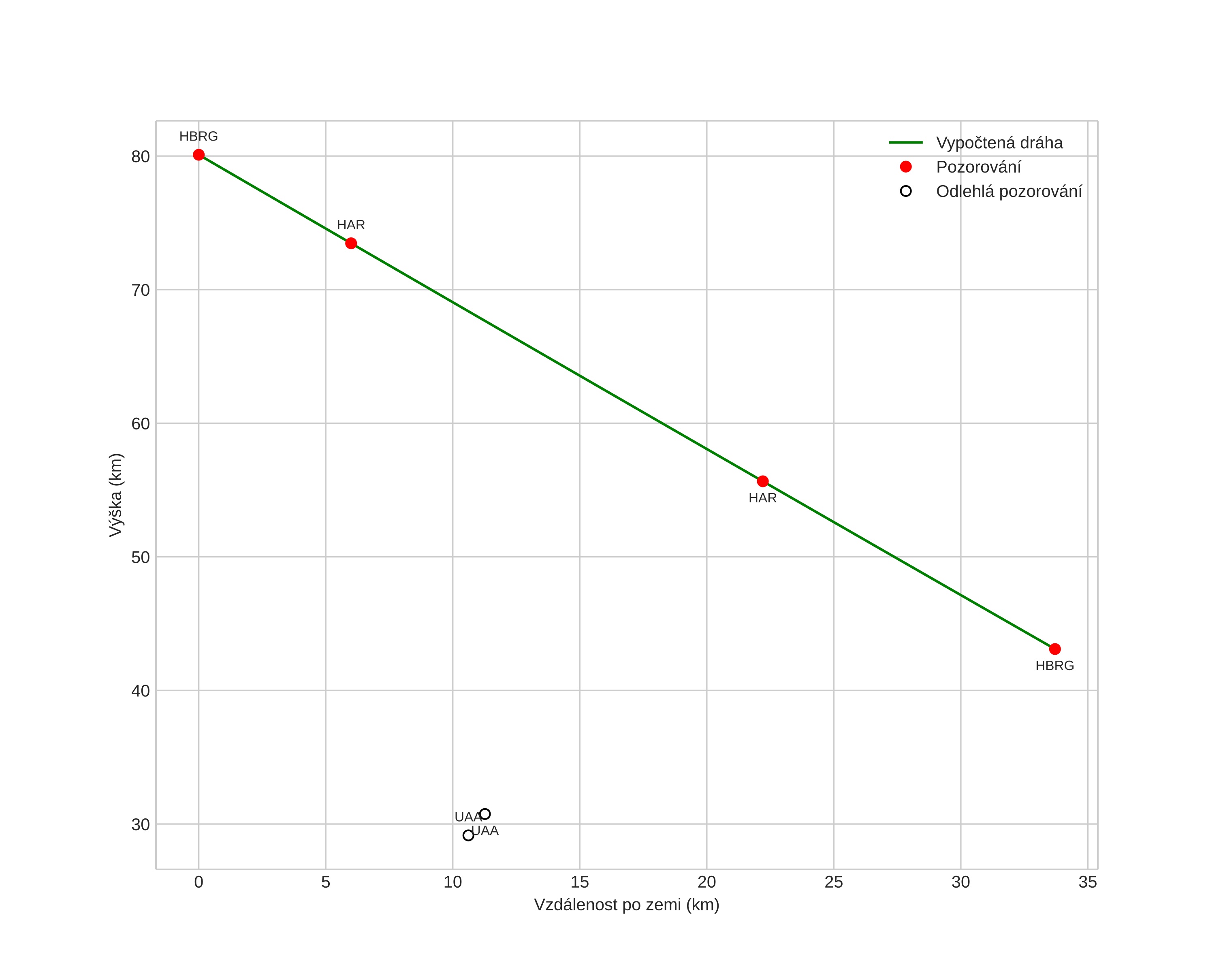
height profile
Atmosférická dráha meteoru:
Počáteční výška: 79,9 km
Konečná výška: 43,4 km
Počáteční poloha: 59,589N 16,266E
Konečná poloha: 59,321N 16,585E
Směr: 148,7°
Sklon: 46,4°
Vstupní rychlost: 18,7 km/s
Rektascenze radiantu: 08:28 (127,1°)
Deklinace radiantu: 62,9°
Meteorický roj: sporadický
Elementy dráhy meteoroidu:
Vzdálenost v periheliu: 0,975 AU
Excentricita: 0,844
Sklon dráhy: 15,0°
Délka vzestupného uzlu: 60,8°
Argument perihelia: 156,8°
Střední anomálie: 1,1°
Epocha: 2021 MAY 21 23:18:49
orbit plot

Neinteraktivní graf | Interaktivní graf

position vs time
speed and acceleration