🇳🇴 🇬🇧 🇩🇪 🇨🇿 🇫🇮

Meteor Eskilstunan yllä 2021-05-21 23:18:49 UTC

KML-tiedosto  |  Interaktiivinen kartta

Kartta näyttää meteorin suuntahavainnot. Vaaleammat viivat näyttävät suunnat havaintoasemilta meteorin ilmestyessä, ja tummemmat viivat näyttävät, missä se viimeksi nähtiin. Sininen nuoli näyttää meteorin näkyvän lennon.

static map
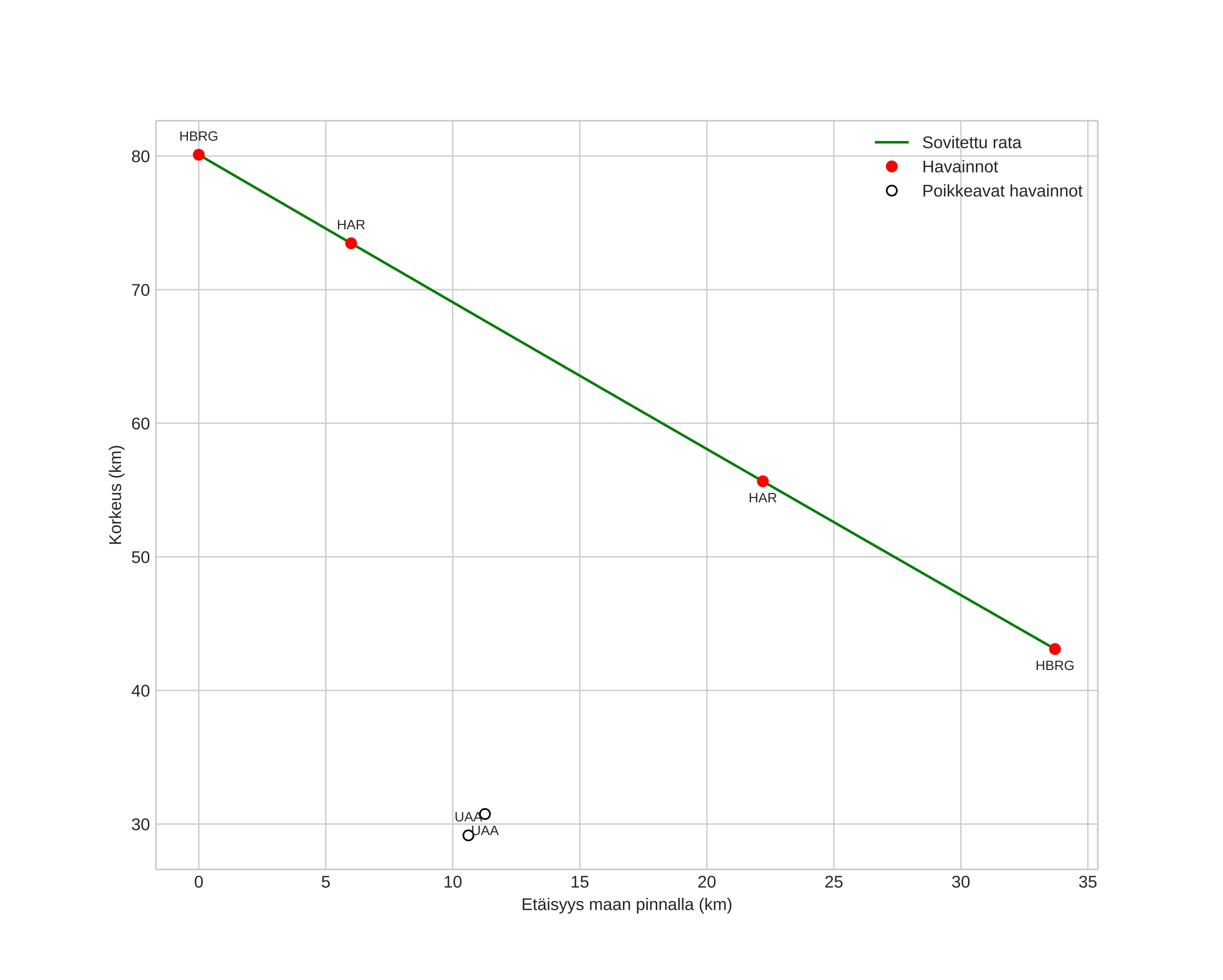
height profile
Meteorin ilmakehärata:
Alkukorkeus: 79,9 km
Loppukorkeus: 43,4 km
Alkupiste: 59,589N 16,266E
Loppupiste: 59,321N 16,585E
Suunta: 148,7°
Kallistuskulma: 46,4°
Tulonopeus: 18,7 km/s
Radiantin R,A,: 08:28 (127,1°)
Radiantin Dekl,: 62,9°
Meteoriparvi: Sporadinen
Meteoroidin rataelementit:
Perihelietäisyys: 0,975 AU
Eksentrisyys: 0,844
Inklinaatio: 15,0°
Nousevan solmun pituus: 60,8°
Perihelin argumentti: 156,8°
Keskianomalia: 1,1°
Epookki: 2021 MAY 21 23:18:49
orbit plot

Ei-interaktiivinen kuvaaja | Interaktiivinen kuvaaja

position vs time
speed and acceleration

Harestua (HAR) cam3


gnomonic
Videot:
• Gnomoninen
• Gnomoninen koordinaateilla
• Alkuperäinen
• Alkuperäinen koordinaateilla
Kuvat:
• Gnomoninen
• Gnomoninen koordinaateilla
• Gnomoninen merkinnöillä
• Alkuperäinen
• Alkuperäinen koordinaateilla
• Alkuperäinen maskilla
Tekstitiedostot:
• Havaintoraportti
• Observaatio
• Koordinaatit
• Virheilmoitukset
• Loki
Kirkkaus