🇳🇴 🇬🇧 🇩🇪 🇨🇿 🇫🇮

Meteor, poloha: Ljungskile 2021-07-16 23:57:16 UTC

Soubor KML  |  Interaktivní mapa

Mapa zobrazuje dráhy meteoru. Světlejší čáry ukazují směry od pozorovacích stanic při objevení se meteoru a tmavší čáry, kde byl naposledy viděn. Modrá šipka značí viditelnou dráhu meteoru.

static map
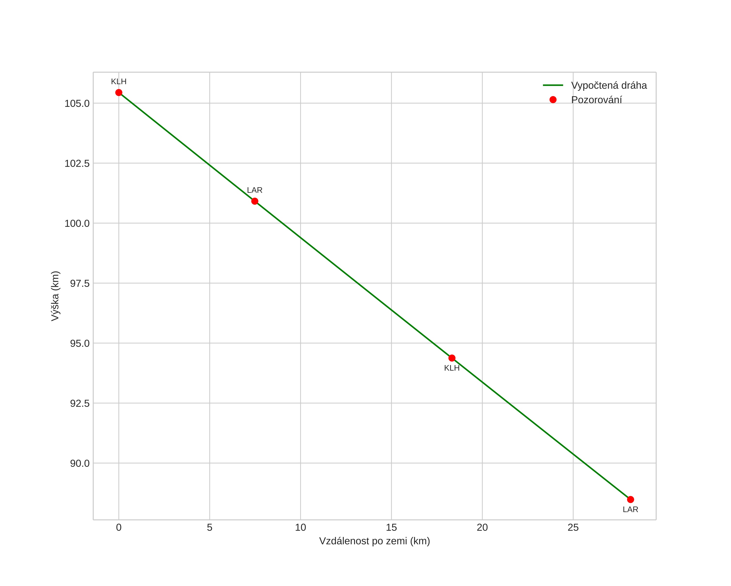
height profile
Atmosférická dráha meteoru:
Počáteční výška: 105,5 km
Konečná výška: 88,1 km
Počáteční poloha: 58,162N 12,309E
Konečná poloha: 58,281N 11,866E
Směr: 297,1°
Sklon: 30,9°
Vstupní rychlost: 46,6 km/s
Rektascenze radiantu: 23:53 (358,3°)
Deklinace radiantu: 12,3°
Meteorický roj: sporadický
Elementy dráhy meteoroidu:
Vzdálenost v periheliu: 0,148 AU
Excentricita: 0,788
Sklon dráhy: 141,7°
Délka vzestupného uzlu: 114,4°
Argument perihelia: 339,6°
Střední anomálie: 272,4°
Epocha: 2021 JUL 16 23:57:16
orbit plot

Neinteraktivní graf | Interaktivní graf

position vs time
speed and acceleration