🇳🇴 🇬🇧 🇩🇪 🇨🇿 🇫🇮

Meteor Ljungskilen yllä 2021-07-16 23:57:16 UTC

KML-tiedosto  |  Interaktiivinen kartta

Kartta näyttää meteorin suuntahavainnot. Vaaleammat viivat näyttävät suunnat havaintoasemilta meteorin ilmestyessä, ja tummemmat viivat näyttävät, missä se viimeksi nähtiin. Sininen nuoli näyttää meteorin näkyvän lennon.

static map
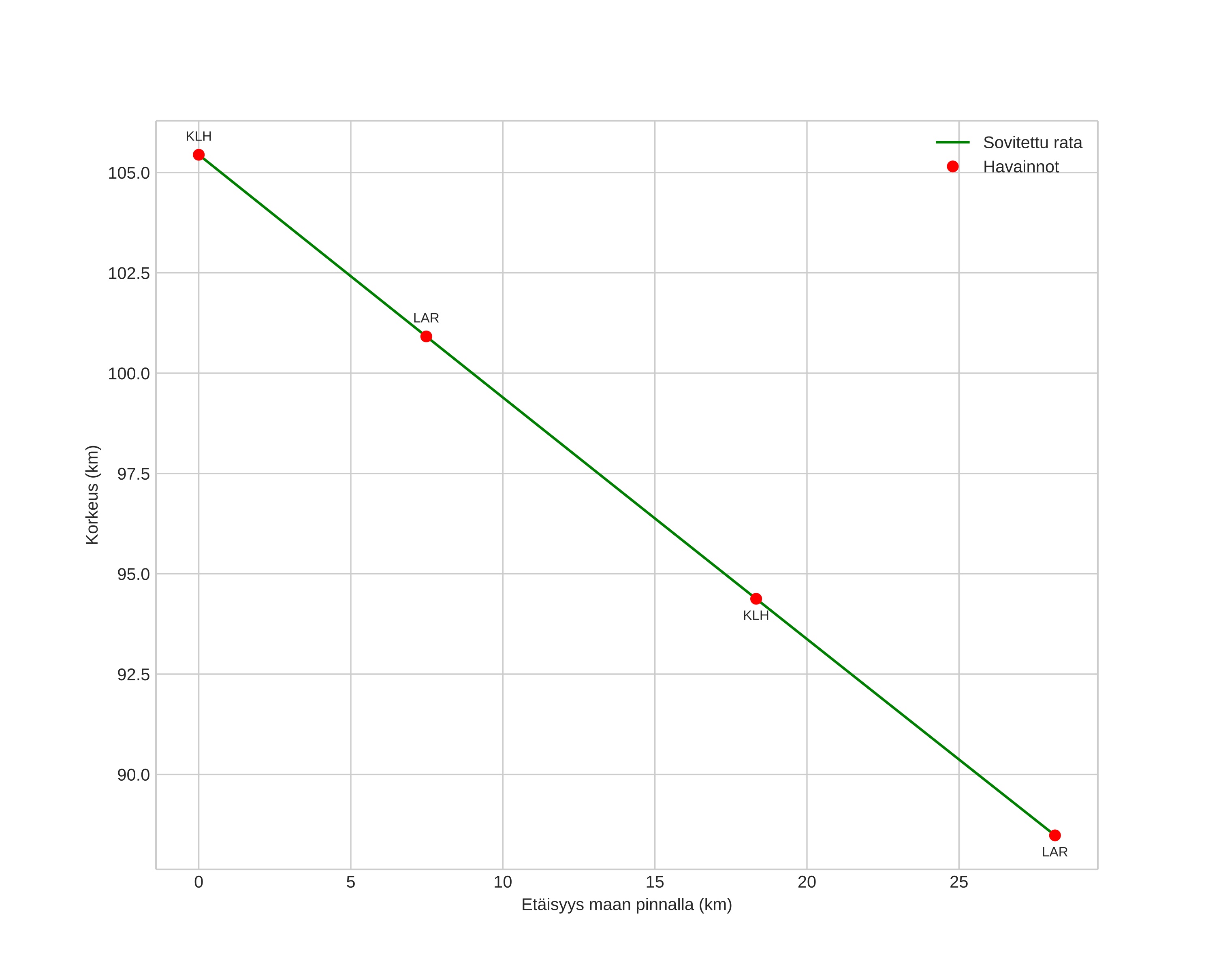
height profile
Meteorin ilmakehärata:
Alkukorkeus: 105,5 km
Loppukorkeus: 88,1 km
Alkupiste: 58,162N 12,309E
Loppupiste: 58,281N 11,866E
Suunta: 297,1°
Kallistuskulma: 30,9°
Tulonopeus: 46,6 km/s
Radiantin R,A,: 23:53 (358,3°)
Radiantin Dekl,: 12,3°
Meteoriparvi: Sporadinen
Meteoroidin rataelementit:
Perihelietäisyys: 0,148 AU
Eksentrisyys: 0,788
Inklinaatio: 141,7°
Nousevan solmun pituus: 114,4°
Perihelin argumentti: 339,6°
Keskianomalia: 272,4°
Epookki: 2021 JUL 16 23:57:16
orbit plot

Ei-interaktiivinen kuvaaja | Interaktiivinen kuvaaja

position vs time
speed and acceleration

Larvik (LAR) cam3


gnomonic
Videot:
• Gnomoninen
• Gnomoninen koordinaateilla
• Alkuperäinen
• Alkuperäinen koordinaateilla
Kuvat:
• Gnomoninen
• Gnomoninen koordinaateilla
• Gnomoninen merkinnöillä
• Alkuperäinen
• Alkuperäinen koordinaateilla
• Alkuperäinen maskilla
Tekstitiedostot:
• Havaintoraportti
• Observaatio
• Koordinaatit
• Virheilmoitukset
• Loki
Kirkkaus