🇳🇴 🇬🇧 🇩🇪 🇨🇿 🇫🇮

Meteor, poloha: Hals 2021-07-20 23:49:20 UTC

Soubor KML  |  InteraktivnĂ­ mapa

Mapa zobrazuje dráhy meteoru. Světlejší čáry ukazují směry od pozorovacích stanic při objevení se meteoru a tmavší čáry, kde byl naposledy viděn. Modrá šipka značí viditelnou dráhu meteoru.

static map
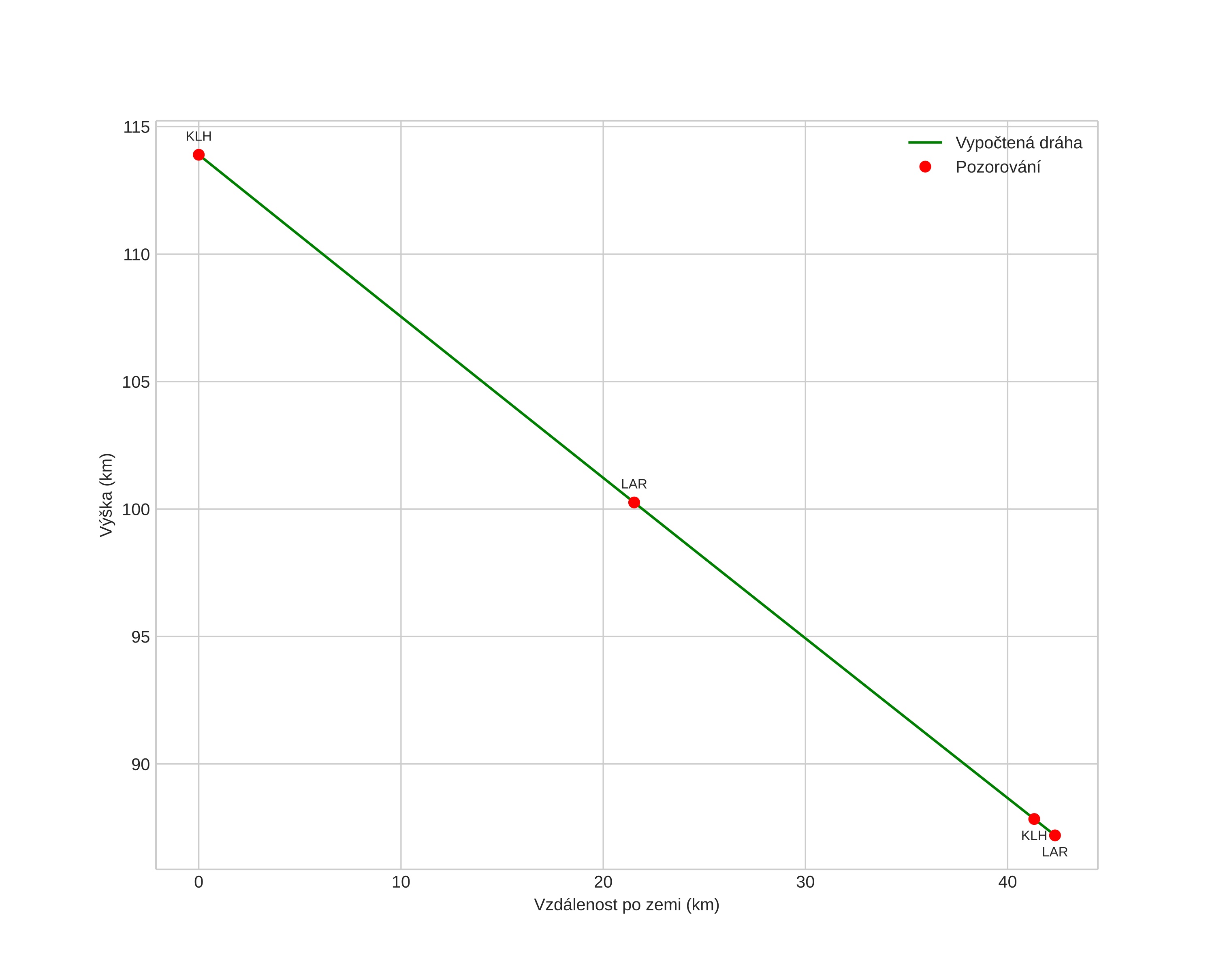
height profile
Atmosférická dráha meteoru:
Počáteční výška: 113,8 km
Konečná výška: 87,3 km
Počáteční poloha: 56,961N 11,028E
Konečná poloha: 56,850N 10,357E
Směr: 253,5°
Sklon: 31,9°
VstupnĂ­ rychlost: 69,0 km/s
Rektascenze radiantu: 02:04 (31,1°)
Deklinace radiantu: 34,7°
MeteorickĂ˝ roj: sporadickĂ˝
Elementy dráhy meteoroidu:
Vzdálenost v periheliu: 0,910 AU
Excentricita: 1,094
Sklon dráhy: 143,6°
Délka vzestupného uzlu: 118,2°
Argument perihelia: 143,1°
Střední anomálie: 0,8°
Epocha: 2021 JUL 20 23:49:20
orbit plot

NeinteraktivnĂ­ graf | InteraktivnĂ­ graf

position vs time
speed and acceleration