🇳🇴 🇬🇧 🇩🇪 🇨🇿 🇫🇮

Meteor Halsin yllä 2021-07-20 23:49:20 UTC

KML-tiedosto  |  Interaktiivinen kartta

Kartta näyttää meteorin suuntahavainnot. Vaaleammat viivat näyttävät suunnat havaintoasemilta meteorin ilmestyessä, ja tummemmat viivat näyttävät, missä se viimeksi nähtiin. Sininen nuoli näyttää meteorin näkyvän lennon.

static map
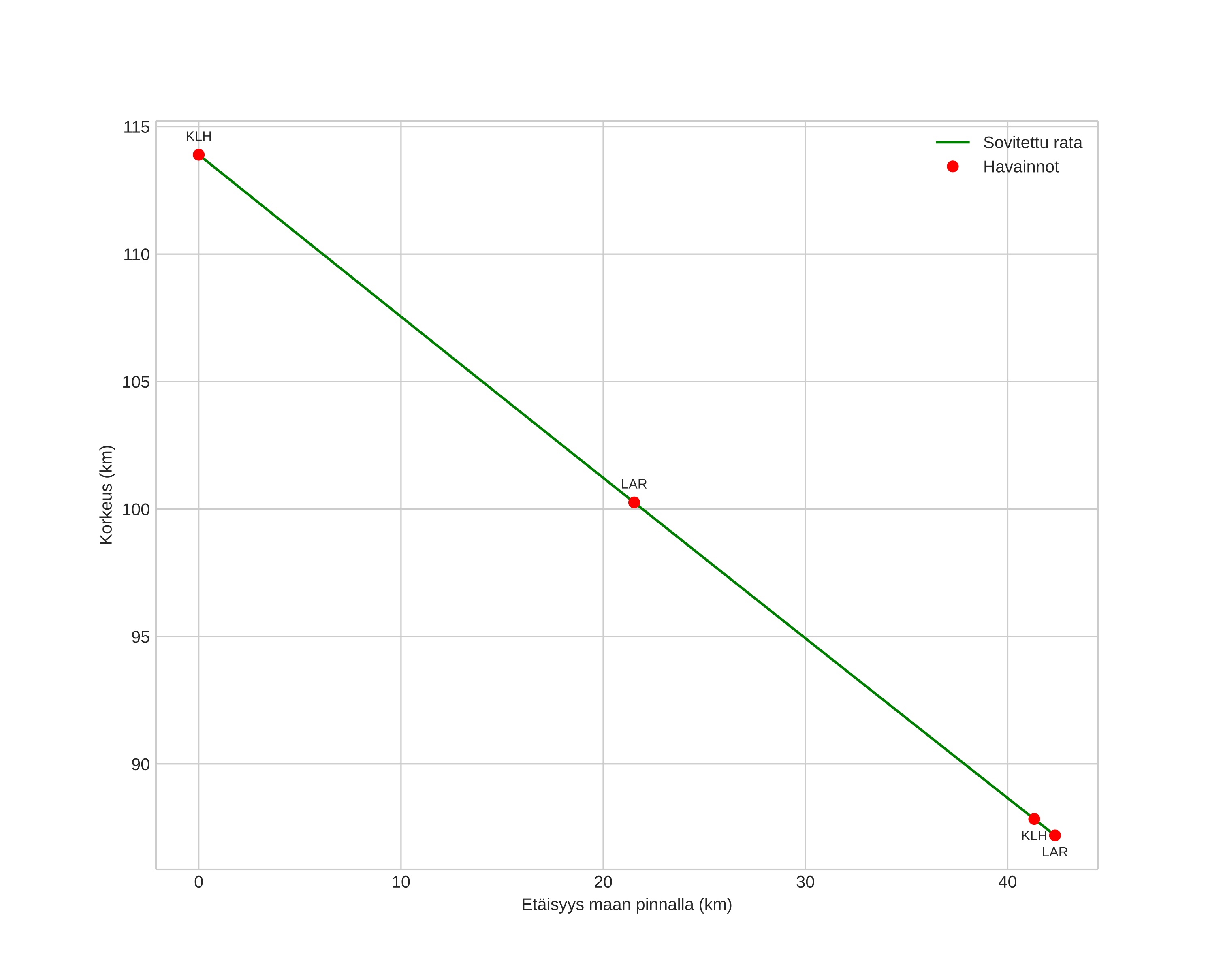
height profile
Meteorin ilmakehärata:
Alkukorkeus: 113,8 km
Loppukorkeus: 87,3 km
Alkupiste: 56,961N 11,028E
Loppupiste: 56,850N 10,357E
Suunta: 253,5°
Kallistuskulma: 31,9°
Tulonopeus: 69,0 km/s
Radiantin R,A,: 02:04 (31,1°)
Radiantin Dekl,: 34,7°
Meteoriparvi: Sporadinen
Meteoroidin rataelementit:
Perihelietäisyys: 0,910 AU
Eksentrisyys: 1,094
Inklinaatio: 143,6°
Nousevan solmun pituus: 118,2°
Perihelin argumentti: 143,1°
Keskianomalia: 0,8°
Epookki: 2021 JUL 20 23:49:20
orbit plot

Ei-interaktiivinen kuvaaja | Interaktiivinen kuvaaja

position vs time
speed and acceleration