🇳🇴 🇬🇧 🇩🇪 🇨🇿 🇫🇮

Meteor, poloha: Skagen 2021-08-04 23:41:28 UTC

Soubor KML  |  InteraktivnĂ­ mapa

Mapa zobrazuje dráhy meteoru. Světlejší čáry ukazují směry od pozorovacích stanic při objevení se meteoru a tmavší čáry, kde byl naposledy viděn. Modrá šipka značí viditelnou dráhu meteoru.

static map
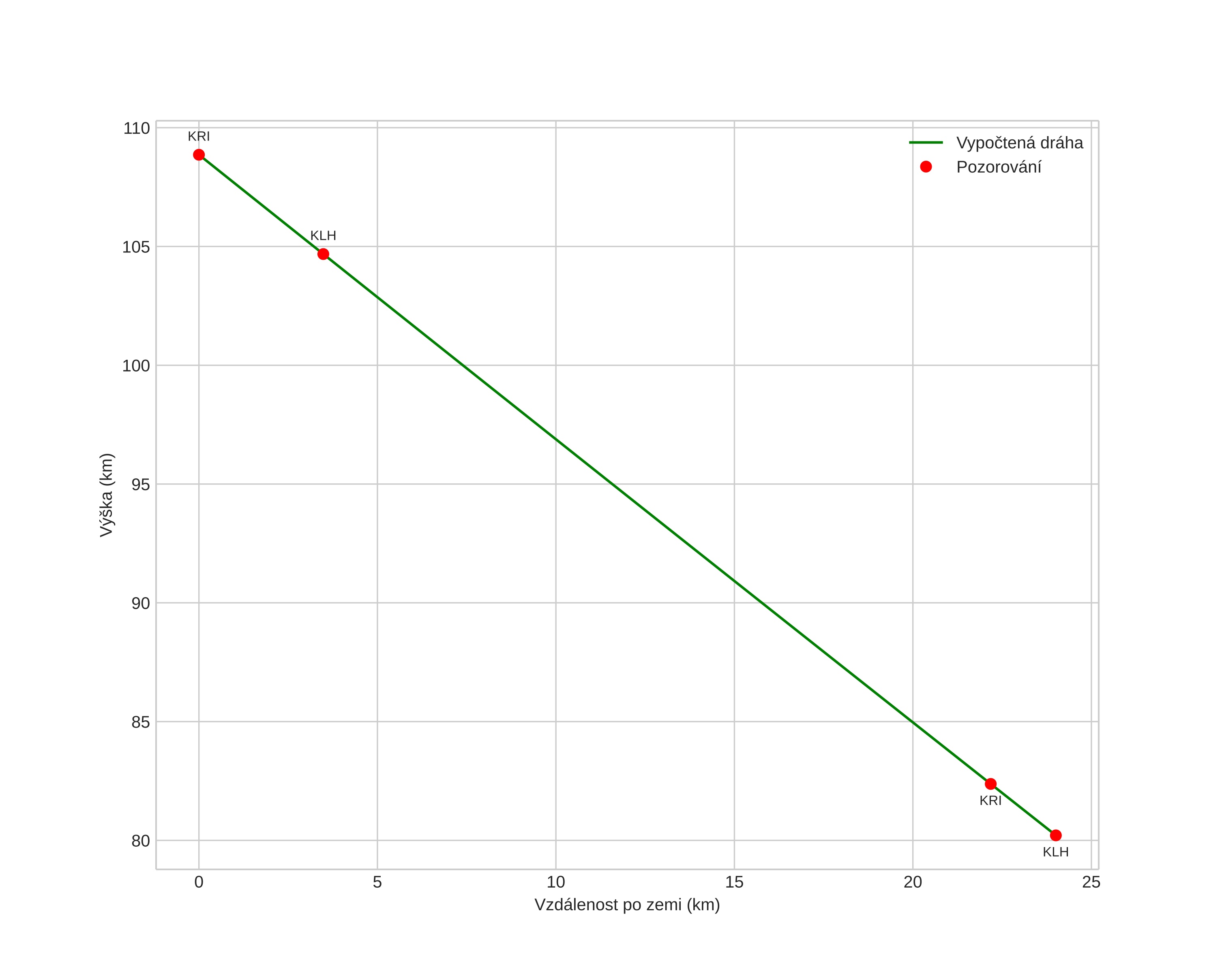
height profile
Atmosférická dráha meteoru:
Počáteční výška: 108,2 km
Konečná výška: 79,7 km
Počáteční poloha: 58,275N 10,527E
Konečná poloha: 58,167N 10,173E
Směr: 240,0°
Sklon: 50,0°
VstupnĂ­ rychlost: 64,4 km/s
Rektascenze radiantu: 02:25 (36,3°)
Deklinace radiantu: 55,0°
MeteorickĂ˝ roj: Perseidy
Elementy dráhy meteoroidu:
Vzdálenost v periheliu: 0,971 AU
Excentricita: 1,270
Sklon dráhy: 116,6°
Délka vzestupného uzlu: 132,5°
Argument perihelia: 157,5°
Střední anomálie: 2,2°
Epocha: 2021 AUG 04 23:41:28
orbit plot

NeinteraktivnĂ­ graf | InteraktivnĂ­ graf

position vs time
speed and acceleration