🇳🇴 🇬🇧 🇩🇪 🇨🇿 🇫🇮

Meteor Skagenin yllä 2021-08-04 23:41:28 UTC

KML-tiedosto  |  Interaktiivinen kartta

Kartta näyttää meteorin suuntahavainnot. Vaaleammat viivat näyttävät suunnat havaintoasemilta meteorin ilmestyessä, ja tummemmat viivat näyttävät, missä se viimeksi nähtiin. Sininen nuoli näyttää meteorin näkyvän lennon.

static map
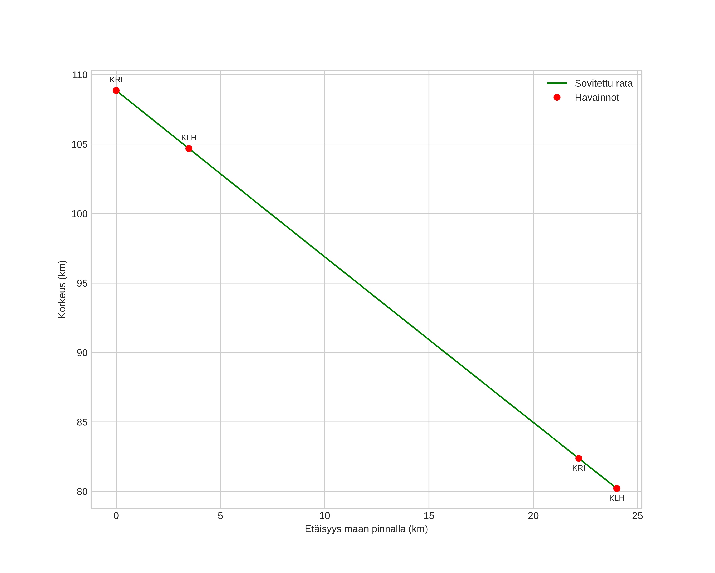
height profile
Meteorin ilmakehärata:
Alkukorkeus: 108,2 km
Loppukorkeus: 79,7 km
Alkupiste: 58,275N 10,527E
Loppupiste: 58,167N 10,173E
Suunta: 240,0°
Kallistuskulma: 50,0°
Tulonopeus: 64,4 km/s
Radiantin R,A,: 02:25 (36,3°)
Radiantin Dekl,: 55,0°
Meteoriparvi: Perseidit
Meteoroidin rataelementit:
Perihelietäisyys: 0,971 AU
Eksentrisyys: 1,270
Inklinaatio: 116,6°
Nousevan solmun pituus: 132,5°
Perihelin argumentti: 157,5°
Keskianomalia: 2,2°
Epookki: 2021 AUG 04 23:41:28
orbit plot

Ei-interaktiivinen kuvaaja | Interaktiivinen kuvaaja

position vs time
speed and acceleration