🇳🇴 🇬🇧 🇩🇪 🇨🇿 🇫🇮

Meteor, poloha: Skjærhalden 2021-08-04 23:44:34 UTC

Soubor KML  |  InteraktivnĂ­ mapa

Mapa zobrazuje dráhy meteoru. Světlejší čáry ukazují směry od pozorovacích stanic při objevení se meteoru a tmavší čáry, kde byl naposledy viděn. Modrá šipka značí viditelnou dráhu meteoru.

static map
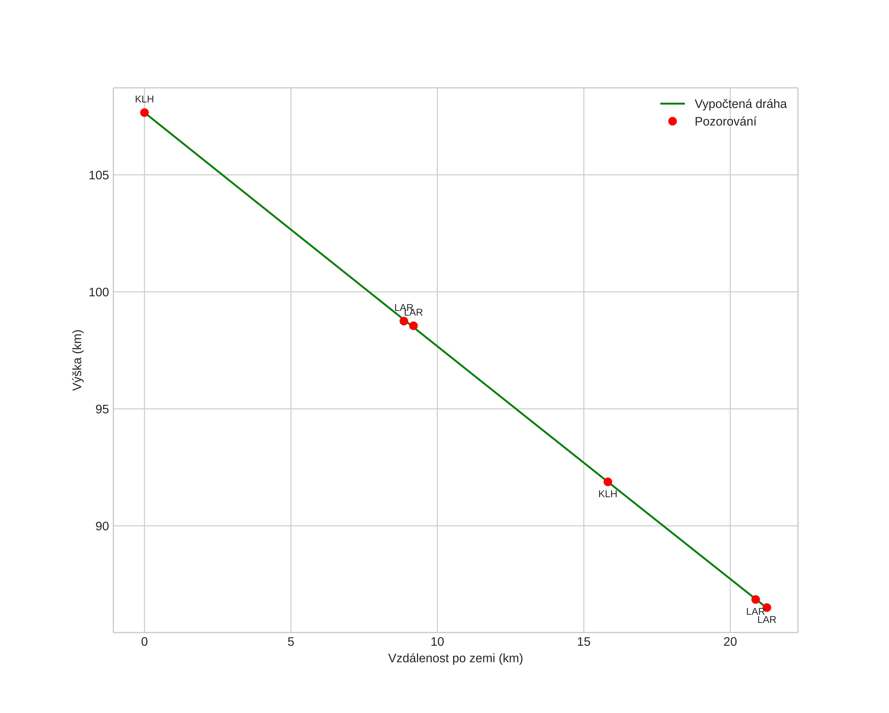
height profile
Atmosférická dráha meteoru:
Počáteční výška: 107,3 km
Konečná výška: 86,5 km
Počáteční poloha: 58,971N 11,073E
Konečná poloha: 58,849N 10,804E
Směr: 228,9°
Sklon: 45,3°
VstupnĂ­ rychlost: 44,5 km/s
Rektascenze radiantu: 03:38 (54,6°)
Deklinace radiantu: 57,6°
MeteorickĂ˝ roj: sporadickĂ˝
Elementy dráhy meteoroidu:
Vzdálenost v periheliu: 0,525 AU
Excentricita: 0,478
Sklon dráhy: 94,1°
Délka vzestupného uzlu: 132,5°
Argument perihelia: 60,6°
Střední anomálie: 63,6°
Epocha: 2021 AUG 04 23:44:34
orbit plot

NeinteraktivnĂ­ graf | InteraktivnĂ­ graf

position vs time
speed and acceleration